İnstagram Pinterest Twitter VFSP - YouTube Facebook
Vize ve Final Soruları / Süleyman Demirel Üniversitesi / Sistem Dinamiği ve Kontrol
0





 

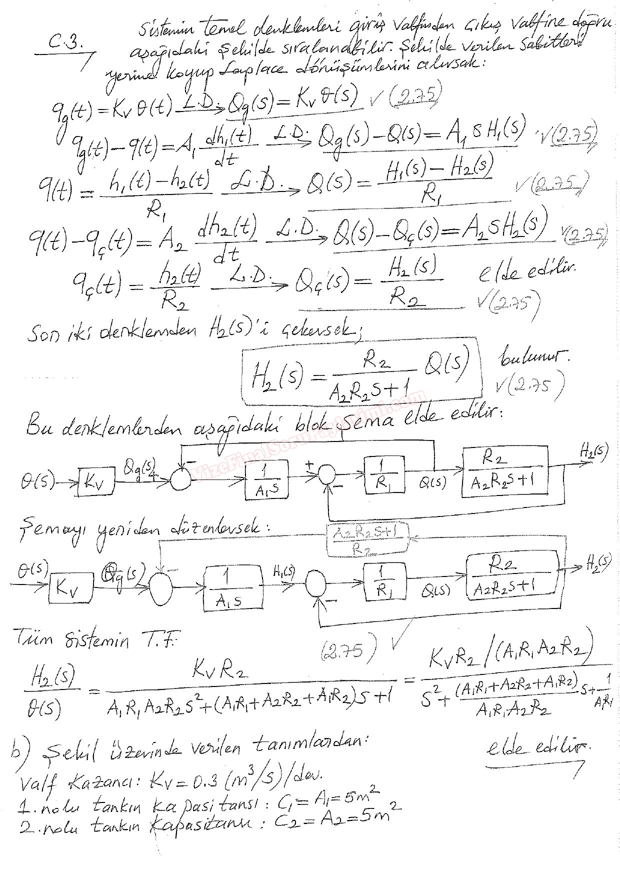
Sistem Dinamiği Ve Kontrol Dersi Final Sınav Soruları Ve Cevapları

Bu Sayfayı Arkadaşlarınla Paylaşmak İster misin ?
Sistem Dinamiği ve Kontrol Dersi final soruları Final Soruları ve Cevapları Süleyman Demirel Üniversitesi SDÜ 2017
GERİ DÖN




İsim:*
E-Mail:
Güvenlik: *