-
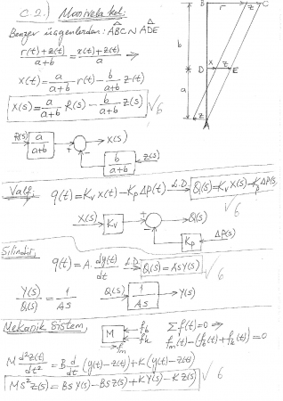
Sistem Dinamiği ve Kontrol Dersi Vize Sınav Soruları ve Cevapları 14-06-2017, 17:44
-
Sistem Analizi ve Kontrol Dersi Final Soruları - 2016 21-01-2016, 00:34
-
Sistem Dinamiği ve Kontrol Dersi Final Çalışma Soruları -2 23-12-2015, 13:35
-
Sistem Dinamiği ve Kontrol Dersi Final Çalışma Soruları -1 23-12-2015, 13:34
-
Sistem Dinamiği ve Kontrol Dersi Vize Soruları - 2014 27-11-2015, 14:40
-
Sistem Modelleme Ve Otomatik Kontrol Final Soruları Ve Çözümleri - 2015 30-08-2015, 00:34
-
Sistem Dinamiği Ve Kontrol Dersi Final Soruları Ve Cevapları-2009 21-12-2014, 15:02
-
Sistem Dinamiği Ve Kontrol Final Soruları-2011 4-11-2014, 13:45





Facebook İle Giriş Yap
Google+ İle Giriş Yap