-
Genel Matematik Dersi Bütünleme Soruları ve Cevapları 23-01-2018, 09:45
-
Genel Matematik Dersi Final Soruları ve Cevapları 23-01-2018, 09:42
-
Genel Matematik Dersi Vize Soruları ve Cevapları 23-01-2018, 09:39
-
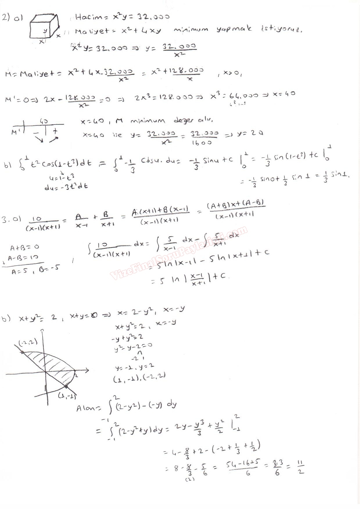
Bil. Des. Sembolik Matematik Final Soruları ve Cevapları 19-01-2018, 00:24
-
Bil. Des. Sembolik Matematik Vize Soruları ve Cevapları 19-01-2018, 00:17
-
Matematik - 1 Final Soruları ve Cevapları 10-04-2017, 16:52
-
Ticari Matematik Dersi Final Soruları 2015 14-01-2016, 05:51
-
Ayrık Matematik Dersi Vize Soruları ve Cevapları 7-02-2015, 19:19





Facebook İle Giriş Yap
Google+ İle Giriş Yap
