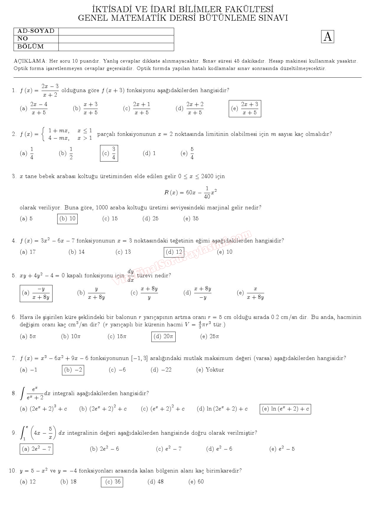
Vize ve Final Soruları / Bilecik Şeyh Edebali Üniversitesi / Genel Matematik Dersi
Bilecik Şeyh Edebali Üniversitesi üniversitesi dersi Genel Matematik genel matematik dersi 2018 bütünleme cevapları çözümleri
GERİ DÖN
-
Genel Matematik Dersi Final Soruları ve Cevapları 23-01-2018, 09:42
-
Genel Matematik Dersi Vize Soruları ve Cevapları 23-01-2018, 09:39
-
Genel Matematik-2 Bütünleme Soruları 2009 17-01-2016, 05:22
-
Genel Matematik-2 Bütünleme Soruları 17-01-2016, 05:21
-
Genel Matematik-1 Bütünleme Soruları 2009 17-01-2016, 05:18
-
Genel Matematik Bütünleme Soruları 23-12-2015, 17:09
-
Genel Matematik Dersi Bütünleme Soruları - 2014 16-11-2015, 01:49
-
Genel Matematik Dersi Bütünleme Soruları 16-11-2015, 01:47





Facebook İle Giriş Yap
Google+ İle Giriş Yap
