İnstagram Pinterest Twitter VFSP - YouTube Facebook
Bu Sayfayı Arkadaşlarınla Paylaşmak İster misin ?
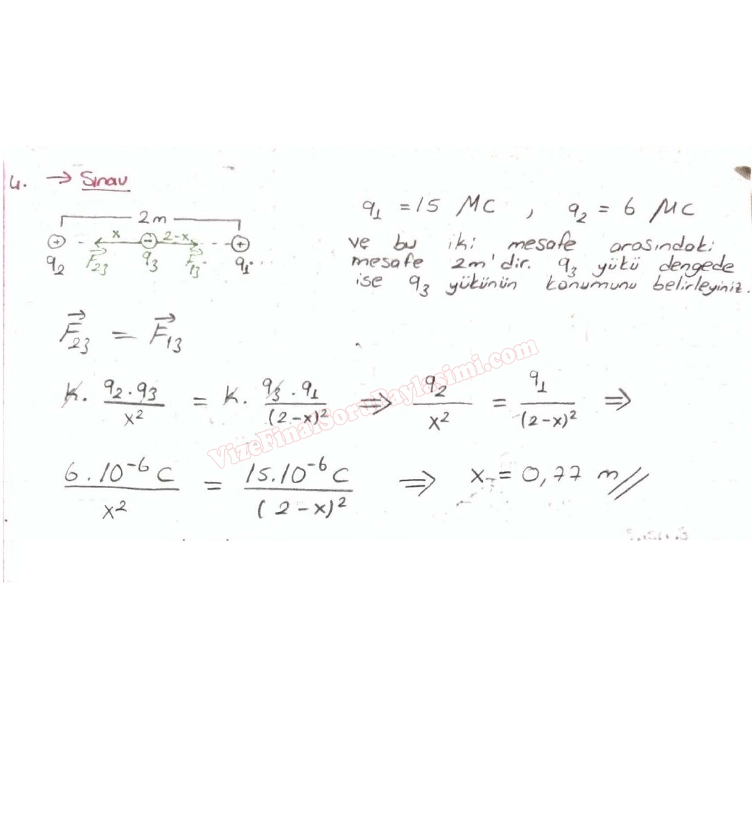
Fizik -2 Coulomb Kanunu Ders Notları Coulomb Çalışma Soruları Çalışma Soruları
GERİ DÖN




İsim:*
E-Mail:
Güvenlik: *