İnstagram Pinterest Twitter VFSP - YouTube Facebook
Üniversite Ders Notları / Fizik-2 Ders Notları
+1




 

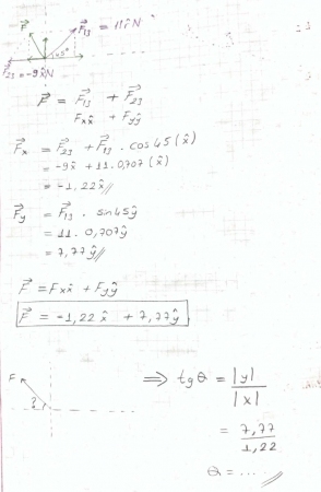
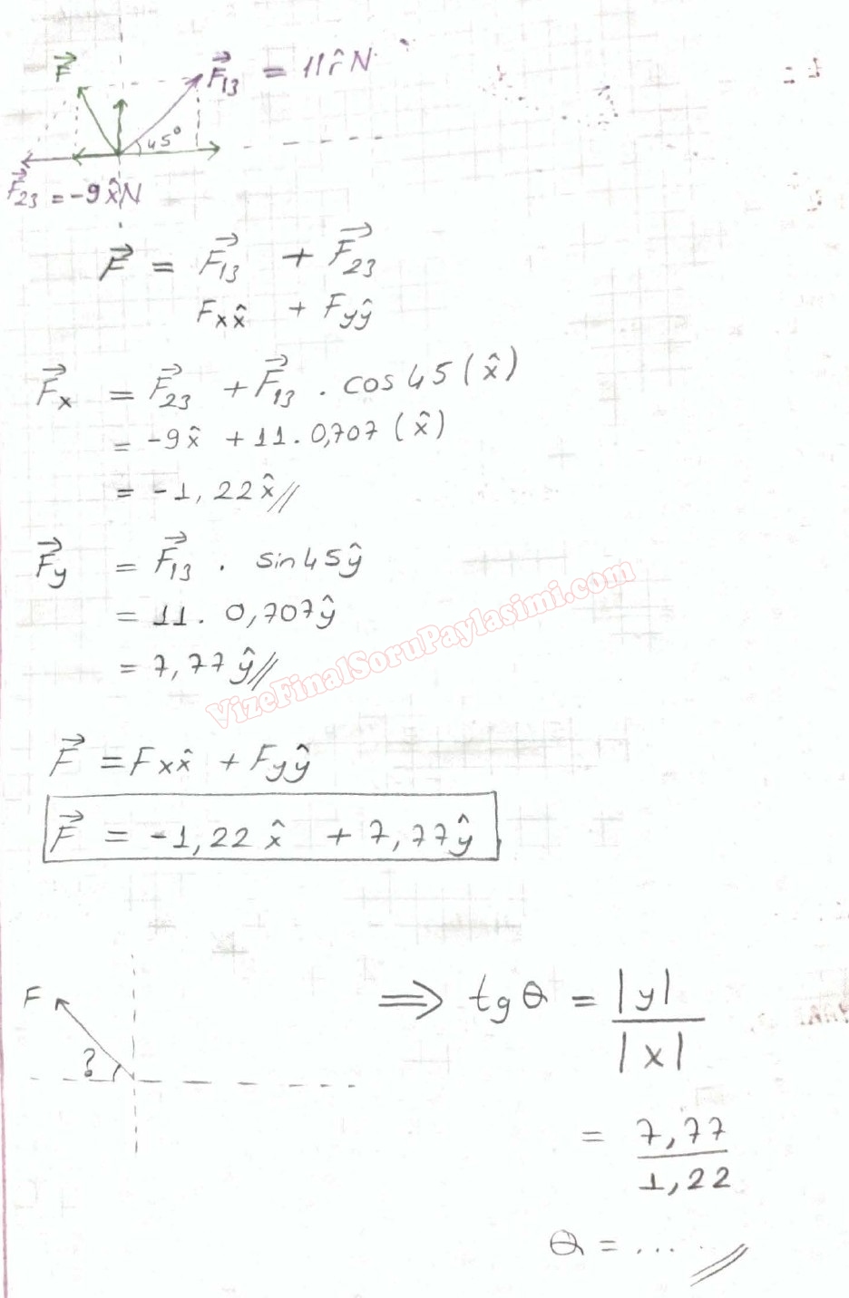
Coulomb Kanunu

Bu Sayfayı Arkadaşlarınla Paylaşmak İster misin ?
Fizik -2 Coulomb Kanunu Ders Notları Coulomb Çalışma Soruları Çalışma Soruları
GERİ DÖN




İsim:*
E-Mail:
Güvenlik: *