-
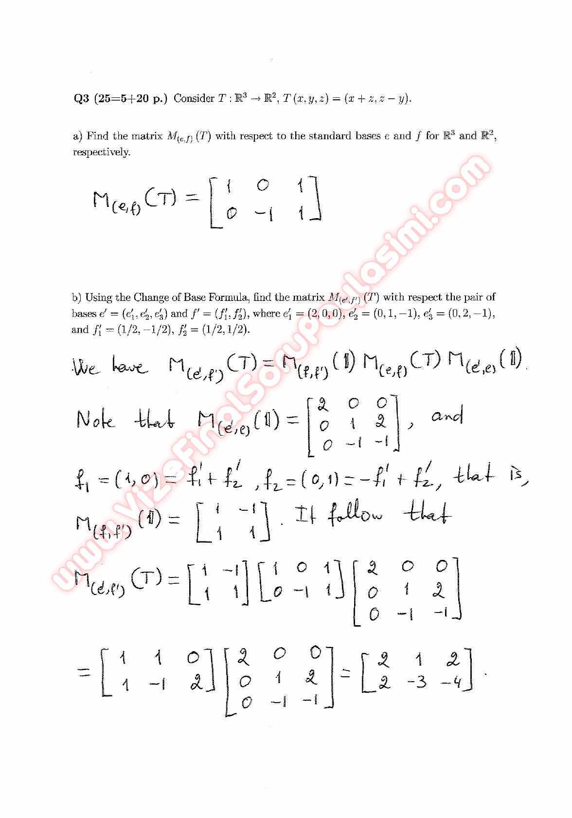
Linear Algebra First Midterm Questions And Solutions 2013 9-11-2015, 23:48
-
Precalculus Midterm Exam Questions And Solutions 2013 Fall 9-11-2015, 23:22
-
Precalculus Midterm Exam Questions And Solutions 2013 9-11-2015, 23:20
-
Introduction To Differential Equations Second Midterm Exam Questions And Solutions 2013 9-11-2015, 01:43
-
Calculus With Analytic Geometry First Midterm Questions and Solutions Summer 2013 29-10-2015, 04:45
-
Calculus With Analytic Geometry Second Midterm Questions and Solutions Spring 2013 29-10-2015, 04:40
-
Calculus With Analytic Geometry Second Midterm Questions and Solutions Fall 2013 29-10-2015, 04:33
-
Calculus With Analytic Geometry First Midterm Questions and Solutions Fall 2013 29-10-2015, 04:27





Facebook İle Giriş Yap
Google+ İle Giriş Yap
