İnstagram Pinterest Twitter VFSP - YouTube Facebook
Vize ve Final Soruları / ODTÜ / Linear Algebra Lesson
0





 

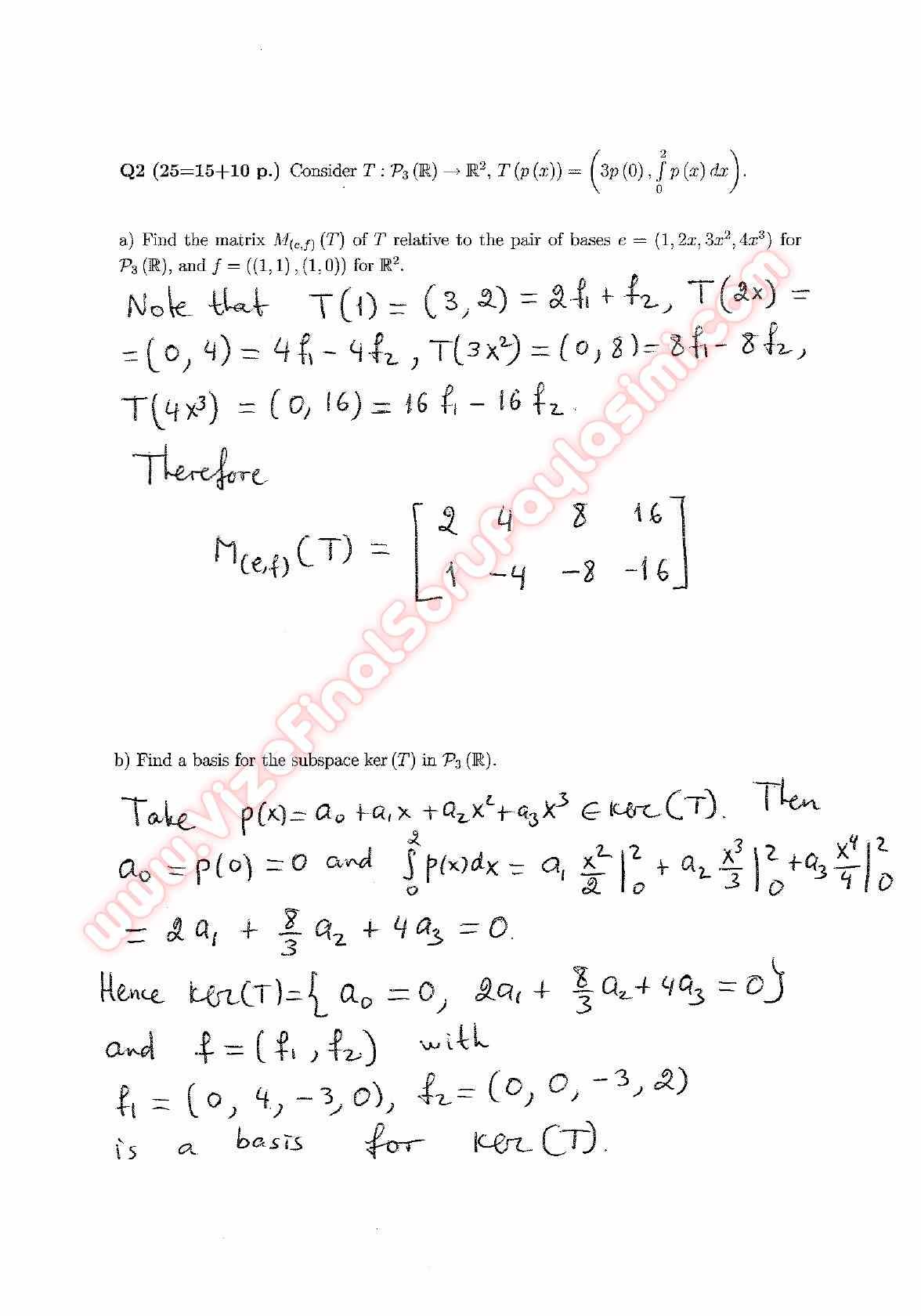
Linear Algebra Second Midterm Questions And Solutions 2013

Bu Sayfayı Arkadaşlarınla Paylaşmak İster misin ?
Linear Algebra Midterm Question Solution
GERİ DÖN




İsim:*
E-Mail:
Güvenlik: *