İnstagram Pinterest Twitter VFSP - YouTube Facebook
Üniversite Ders Notları / Fizik-2 Ders Notları
+1




 

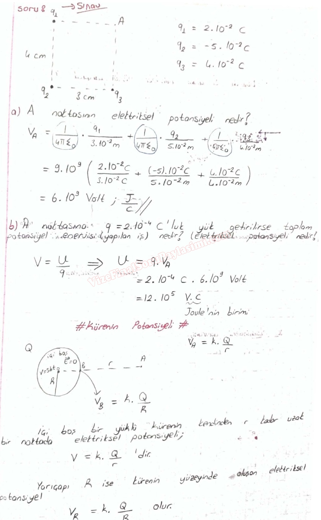
Elektriksel Potansiyel Enerji ve Elektriksel Potansiyel

Bu Sayfayı Arkadaşlarınla Paylaşmak İster misin ?
Fizik -2 Elektriksel Potansiyel Enerji Elektriksel Potansiyel Ders Notları Örnek Soru Çözümü Örnek Sorular Çalışma Soruları
GERİ DÖN




İsim:*
E-Mail:
Güvenlik: *