-
Makina Elemanları -1 Genel Sınav Soruları 17-09-2017, 02:35
-
Makina Elemanları -1 Genel Sınav Soruları 17-09-2017, 02:32
-
Makina Elemanları -2 Vize Sınav Soruları ve Cevapları 14-06-2017, 16:00
-
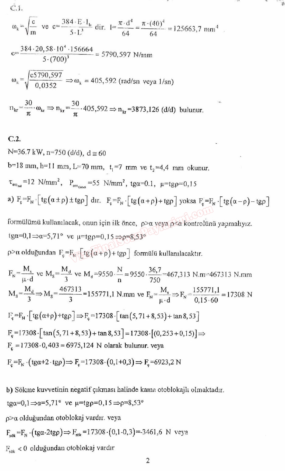
Makina Elemanları -1 Final Sınav Soruları Ve Cevapları 14-06-2017, 15:51
-
Makina Elemanları -1 Vize Sınav Soruları ve Cevapları 14-06-2017, 15:19
-
Makina Elemanları-2 Bütünleme Soruları Ve Cevapları 25-04-2015, 19:30
-
Makina Elemanları-2 Bütünleme Soruları Ve Cevapları-2012 25-04-2015, 19:27
-
Makina Elemanları -2 Vize Soruları Ve Cevapları 25-04-2015, 19:09





Facebook İle Giriş Yap
Google+ İle Giriş Yap