Vize ve Final Soruları / Çankırı Karatekin Üniversitesi / Kompleks Analiz Dersi
kompleks analiz kisa sinav sorulari karatekin üniversitesi
GERİ DÖN
-
Kompleks Analiz Vize Soruları ve Cevapları 10-12-2016, 01:40
-
Kompleks Analiz 3.Kısa Sınav Soruları ve Cevapları 10-12-2016, 01:38
-
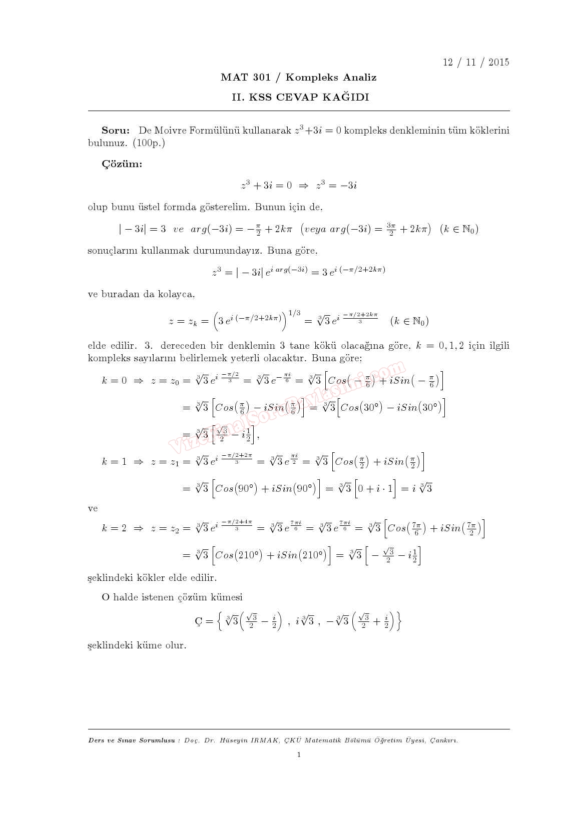
Kompleks Analiz 2.Kısa Sınav Soruları ve Cevapları 10-12-2016, 01:35
-
Kompleks Analiz 1.Kısa Sınav Soruları ve Cevapları 10-12-2016, 01:32
-
Analiz -3 3.Kısa Sınav Soruları ve Cevapları -2015 10-12-2016, 01:22
-
Analiz -3 3.kısa Sınav Soruları 10-12-2016, 01:20
-
Analiz -3 3.kısa Sınav Soruları ve Cevapları 10-12-2016, 01:19
-
Analiz -3 1.Kısa Sınav Soruları ve Cevapları 10-12-2016, 01:13





Facebook İle Giriş Yap
Google+ İle Giriş Yap
