Vize ve Final Soruları / Çankırı Karatekin Üniversitesi / Analiz -3
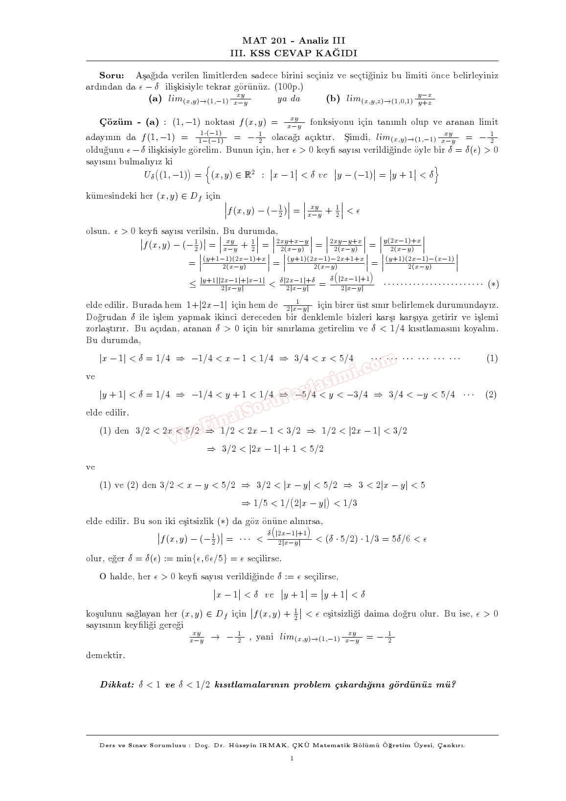
Analiz -3 3.Kısa Sınav Soruları ve Cevapları -2015
analiz3 kisa sinav sorulari karatekin üniversitesi GERİ DÖN-
Kompleks Analiz 3.Kısa Sınav Soruları ve Cevapları -2015 10-12-2016, 01:52
-
Kompleks Analiz 1.Kısa Sınav Soruları ve Cevapları -2015 10-12-2016, 01:49
-
Kompleks Analiz 3.Kısa Sınav Soruları ve Cevapları 10-12-2016, 01:38
-
Kompleks Analiz 2.Kısa Sınav Soruları ve Cevapları -2015 10-12-2016, 01:36
-
Kompleks Analiz 2.Kısa Sınav Soruları ve Cevapları 10-12-2016, 01:35
-
Kompleks Analiz 1.Kısa Sınav Soruları ve Cevapları 10-12-2016, 01:32
-
Analiz -3 3.kısa Sınav Soruları ve Cevapları 10-12-2016, 01:19
-
Analiz -3 1.Kısa Sınav Soruları ve Cevapları 10-12-2016, 01:13





Facebook İle Giriş Yap
Google+ İle Giriş Yap
