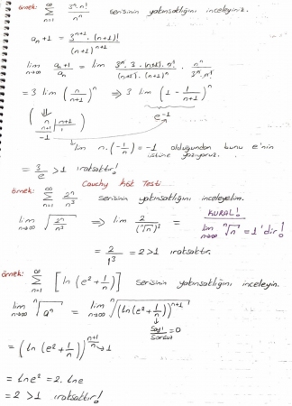
Diziler ve Seriler Paylaşan: Hcr Tarih: 13-09-2017, 23:02 Gösterim: 18 525 Üniversite Ders Notları / Matematik -2 Ders Notları +4 << 1 2 3 4 5 6 7 8 9 10 >> Bu Sayfayı Arkadaşlarınla Paylaşmak İster misin ? Facebook Twitter Pinterest Diziler ve Seriler Matematik -2 Diziler Ders Notları Çalışma Soruları GERİ DÖN
Yorumlar 1