İnstagram Pinterest Twitter VFSP - YouTube Facebook
Bu Sayfayı Arkadaşlarınla Paylaşmak İster misin ?
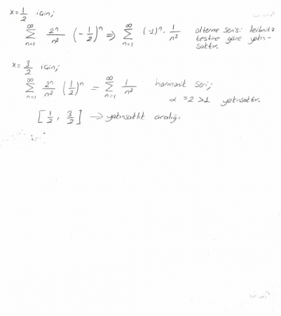
Diziler ve Seriler Matematik -2 Diziler Ders Notları Çalışma Soruları
GERİ DÖN


Yorumlar 1

  1. cengizhanc2021
    14 Ekim 2025 17:32

    paylaşım için teşekkürler.

    • Beğenmedim
    • +1
    • Beğendim

    Cevapla

    Alıntı Yap





İsim:*
E-Mail:
Güvenlik: *