İnstagram Pinterest Twitter VFSP - YouTube Facebook
Vize ve Final Soruları / İstanbul Üniversitesi / Betonarme -1
0




 

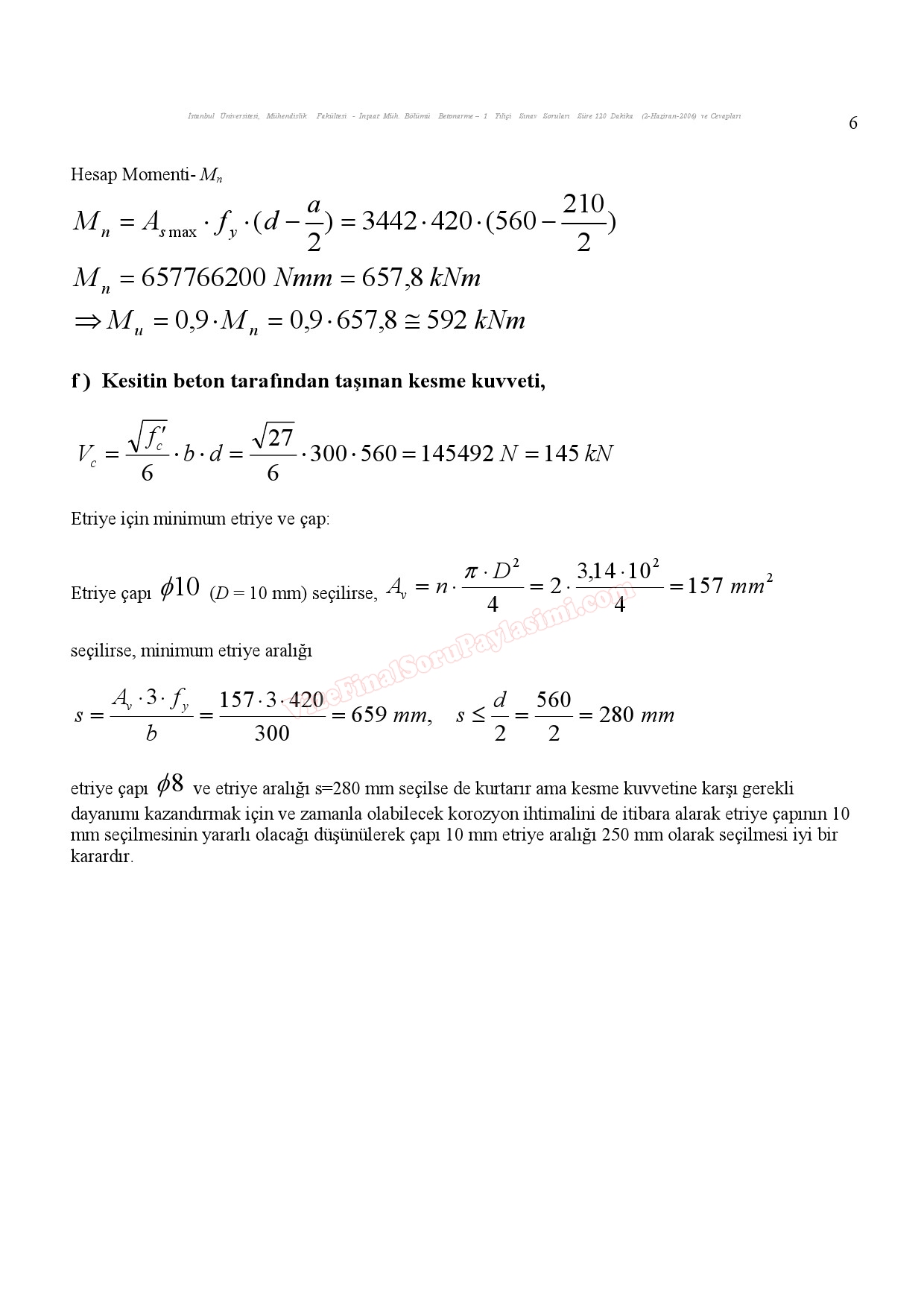
Betonarme - 1  Yıliçi Sınav Soruları

Bu Sayfayı Arkadaşlarınla Paylaşmak İster misin ?
betonarme-1 yılici sınav soruları İstanbul Üniversitesi
GERİ DÖN




İsim:*
E-Mail:
Güvenlik: *