-
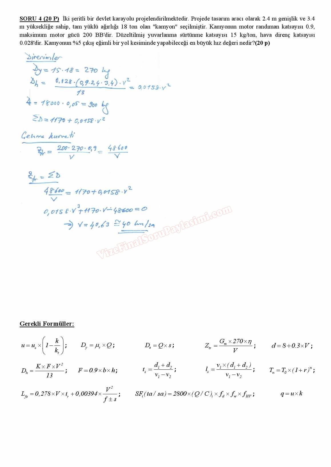
Ulaştırma Proje Dersi Vize Soruları ve Cevapları 19-12-2016, 18:44
-
Pedodonti 2.Vize Soruları Ve Cevapları 11-11-2015, 23:26
-
Elektrik Tesislerinin Projelendirilmesi Vize Soruları-2012 2-09-2015, 22:35
-
Elektrik Tesisleri Vize Soruları-2012 2-09-2015, 22:11
-
Ulaştırma 1 Final Cevapları 9-07-2015, 01:00
-
Mukavemet-1 Vize Soruları Ve Cevapları 28-03-2015, 13:04
-
Akışkanlar Mekaniği Vize Soruları ve Cevapları - 2008 2-11-2014, 16:27
-
Pamukkale Üniversitesi Ders Listesi 22-07-2014, 21:44





Facebook İle Giriş Yap
Google+ İle Giriş Yap