-
Sinyaller Ve Sistemler Vize Soruları Ve Çözümleri - 2014 30-08-2015, 00:23
-
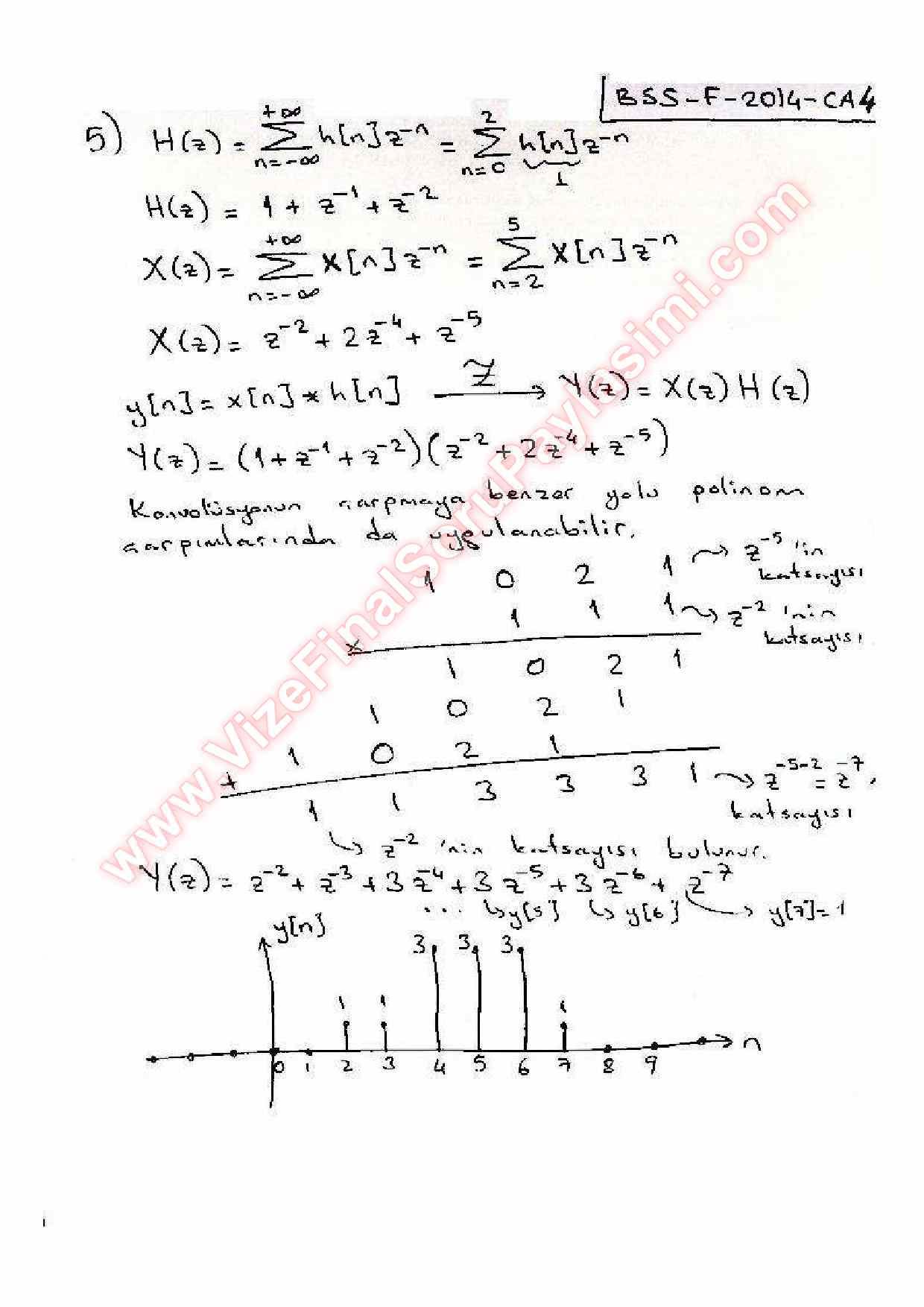
Sinyaller Ve Sistemler Final Soruları Ve Çözümleri - 2014 30-08-2015, 00:20
-
Sinyaller Ve Sistemler Bütünleme Soruları Bahar - 2014 30-08-2015, 00:18
-
Sinyaller Ve Sistemler Final Soruları Ve Çözümleri Bahar - 2013 30-08-2015, 00:10
-
Sinyaller Ve Sistemler Bütünleme Soruları Bahar - 2013 30-08-2015, 00:05
-
Sinyaller Ve Sistemler Final Soruları Ve Çözümleri Bahar - 2012 30-08-2015, 00:01
-
Sinyaller Ve Sistemler Vize Soruları Ve Çözümleri 7-07-2015, 14:54
-
Sinyaller Ve Sistemler Final Soruları Ve Çözümleri 7-07-2015, 14:52





Facebook İle Giriş Yap
Google+ İle Giriş Yap
