İnstagram Pinterest Twitter VFSP - YouTube Facebook
Vize ve Final Soruları / Kırıkkale Üniversitesi / Sinyaller ve Sistemler Dersi
0




 

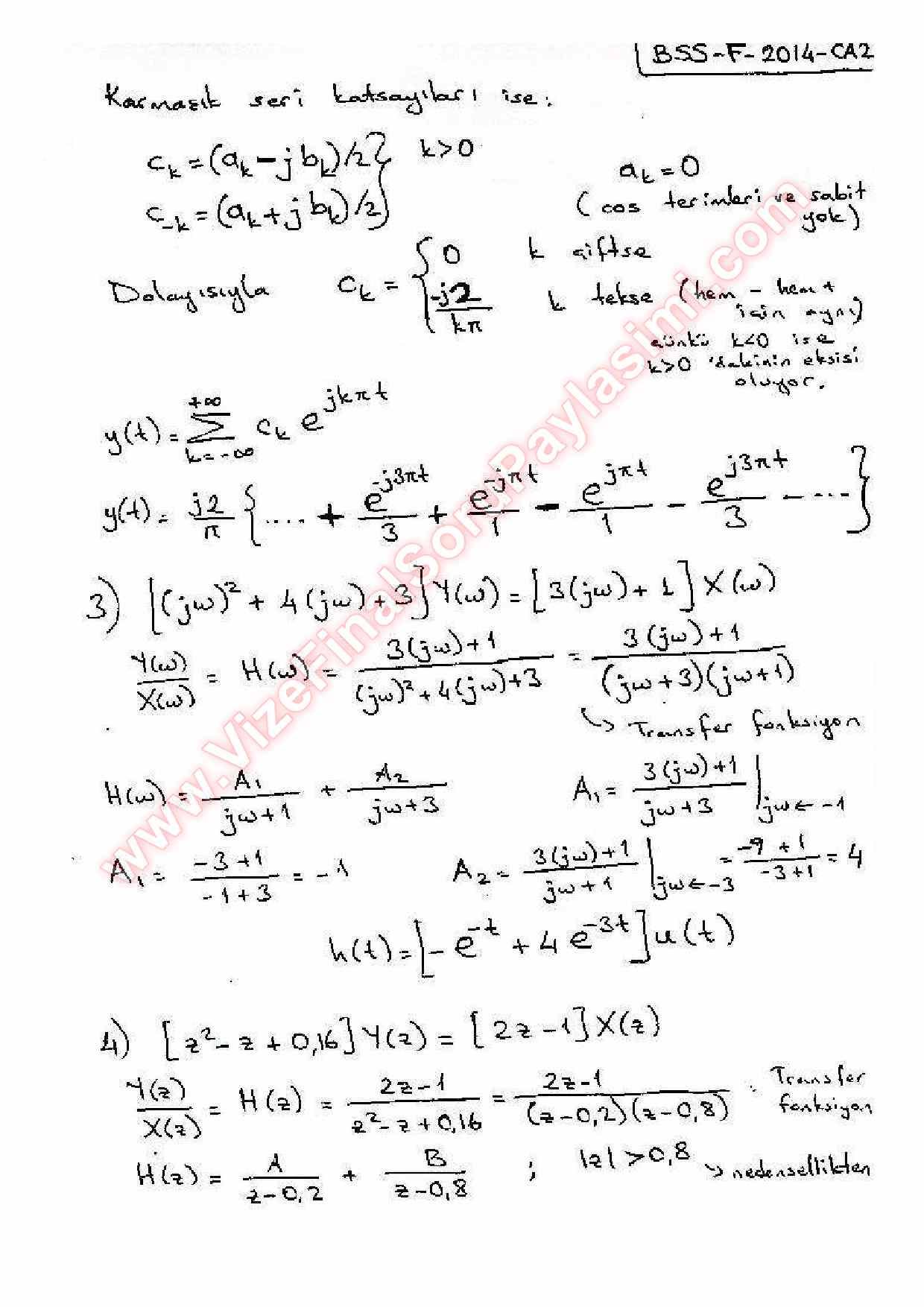
Sinyaller Ve Sistemler Final Soruları Ve Çözümleri Bahar - 2014

Bu Sayfayı Arkadaşlarınla Paylaşmak İster misin ?
sinyal sis final sorulari cozumleri 2014
GERİ DÖN




İsim:*
E-Mail:
Güvenlik: *