-
Elektrik Makinaları -1 Final Soruları -2012 3-08-2015, 23:25
-
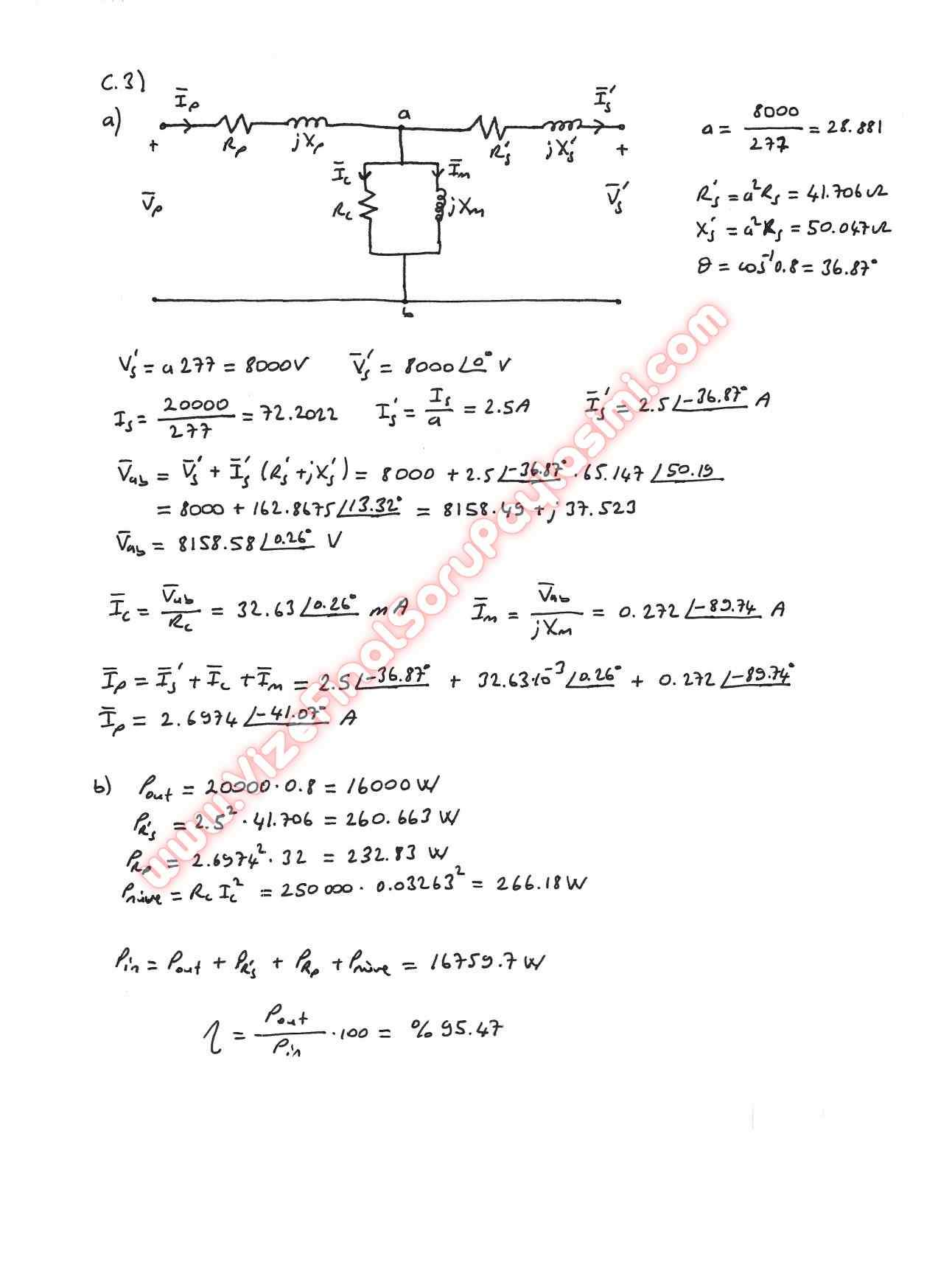
Elektrik Makinaları -2 Vize Soruları ve Çözümleri 5-05-2015, 00:22
-
Tarım Makinaları -1 Vize Soruları 2012 7-04-2015, 16:52
-
Elektrik Makinaları-1 Vize Soruları Ve Cevapları-2012 12-12-2014, 17:14
-
Elektrik Makinaları-1 Vize Soruları Ve Cevapları-2010 12-12-2014, 17:11
-
Elektrik Makinaları-1 Vize Soruları Ve Cevapları-2008 12-12-2014, 17:03
-
Elektrik Makinaları-1 Vize Soruları-2007 12-12-2014, 16:59
-
Elektrik Makinaları-1 Vize Soruları Ve Cevapları-2000 12-12-2014, 16:53





Facebook İle Giriş Yap
Google+ İle Giriş Yap
