İnstagram Pinterest Twitter VFSP - YouTube Facebook
Üniversite Ders Notları / Termodinamik-2 Ders Notları
+1





 

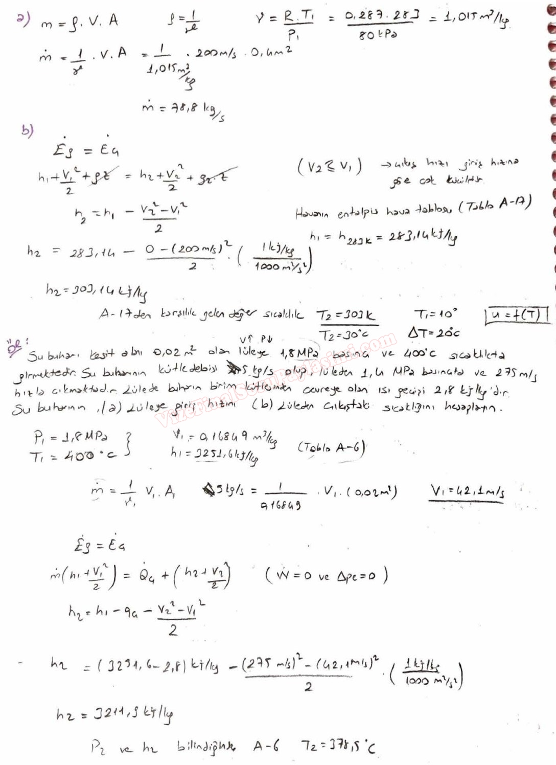
Kontrol Hacimleri İçin Kütle ve Enerji Çözümlemesi

Bu Sayfayı Arkadaşlarınla Paylaşmak İster misin ?
Termodinamik -2 Termodinamik Dersi Kontrol Hacimleri için Kütle ve Enerji Çözümlemesi Ders Notları Örnek Sorular
GERİ DÖN




İsim:*
E-Mail:
Güvenlik: *