-
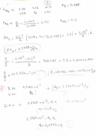
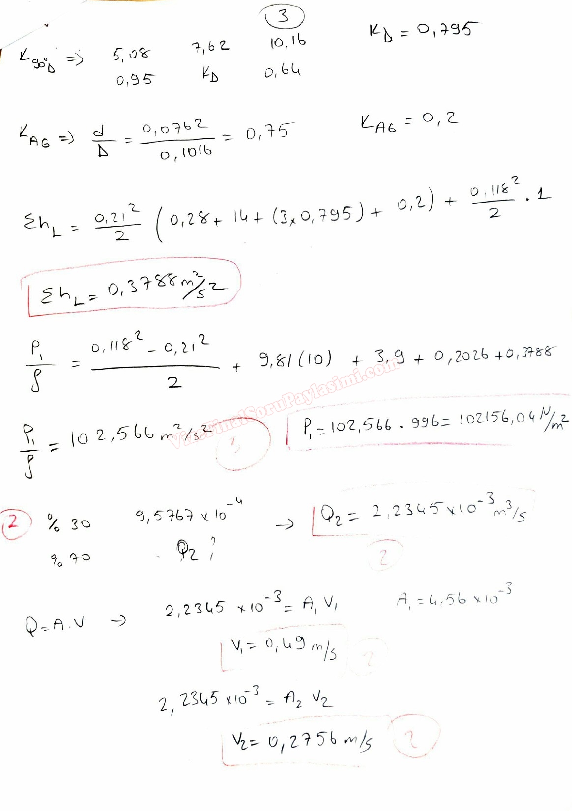
Akışkanlar Mekaniği Dersi Vize Soruları ve Cevapları 11-06-2017, 23:44
-
Akışkanlar Mekaniği Dersi Vize Soruları ve Çözümleri - 2015 1-08-2015, 18:26
-
Akışkanlar Mekaniği Kısa Sınav Soruları-3 28-09-2014, 23:55
-
Akışkanlar Mekaniği Kısa Sınav Soruları - 3 28-09-2014, 23:52
-
Akışkanlar Mekaniği Kısa Sınav Soruları-2 ( 2. Öğretim) 28-09-2014, 23:48
-
Akışkanlar Mekaniği Kısa Sınav Soruları-2 28-09-2014, 23:45
-
Akışkanlar Mekaniği Kısa Sınav Soruları -1 28-09-2014, 23:35
-
Akışkanlar Mekaniği Kısa Sınav Soruları 2. Öğretim 28-09-2014, 23:34





Facebook İle Giriş Yap
Google+ İle Giriş Yap