-
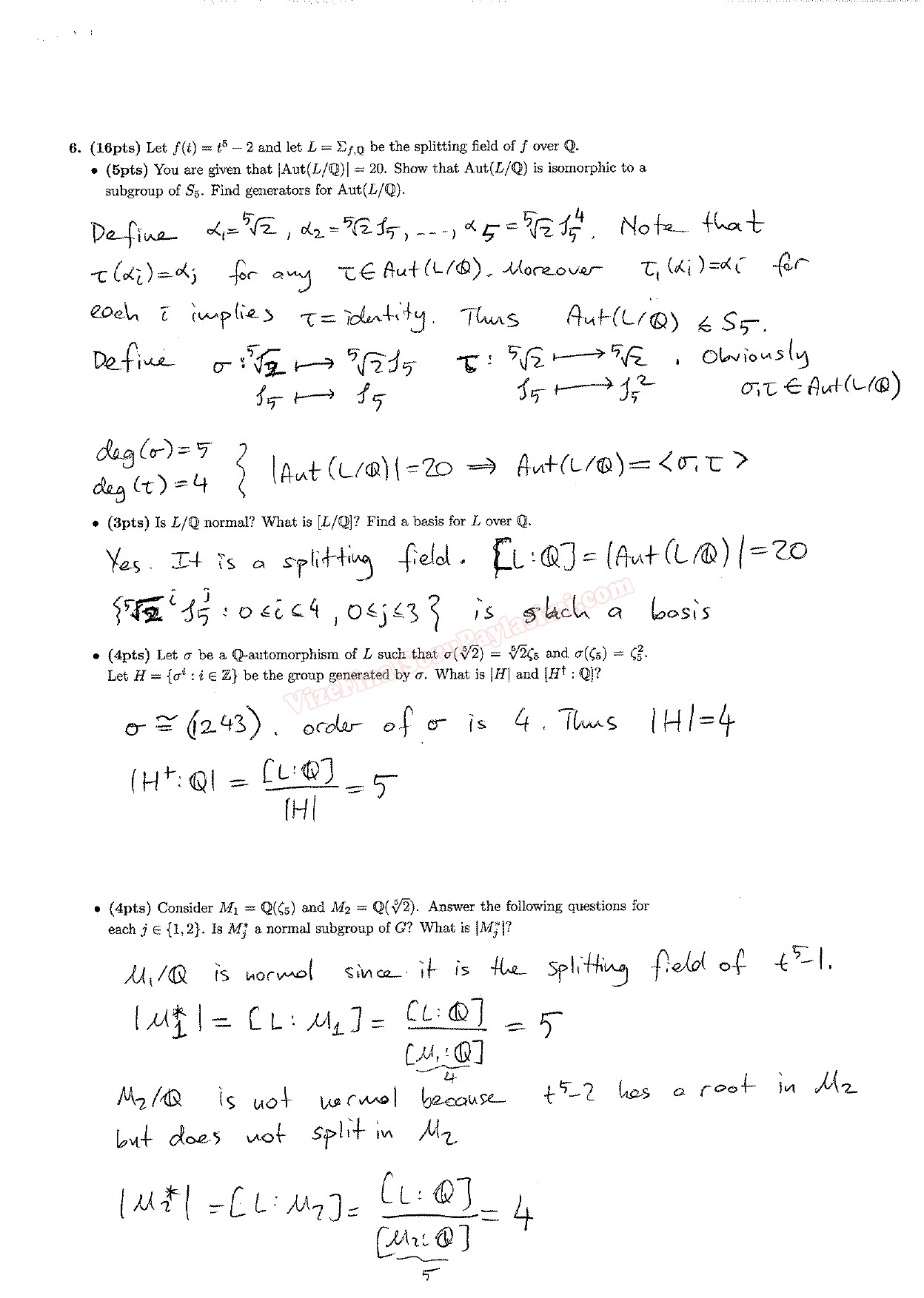
Field Extensions and Galois Theory First Midterm Exam Questions 20-12-2015, 18:03
-
Field Extensions and Galois Theory Final Questions 20-12-2015, 18:02
-
Elementary Number Theory 2 Second Midterm Exam Questions 2015 20-12-2015, 17:53
-
Elementary Number Theory 2 First Midterm Exam Questions 2015 20-12-2015, 17:52
-
Elementary Number Theory 1 Second Midterm Exam Questions 20-12-2015, 17:16
-
Elementary Number Theory 1 First Midterm Exam Questions 20-12-2015, 17:14
-
Algebraic Number Theory Second Midterm Exam Questions 20-12-2015, 16:46
-
Algebraic Number Theory First Midterm Exam Questions 20-12-2015, 16:45





Facebook İle Giriş Yap
Google+ İle Giriş Yap
