-
Linear Algebra Short Exam Questions And Solutions 2014 9-11-2015, 23:59
-
Linear Algebra Short Exam Questions 2014 9-11-2015, 23:58
-
Linear Algebra Second Midterm Questions And Solutions 2014 9-11-2015, 23:56
-
Linear Algebra First Midterm Questions And Solutions-Spring 2014 9-11-2015, 23:54
-
Linear Algebra First Midterm Questions And Solutions Fall 2014 9-11-2015, 23:53
-
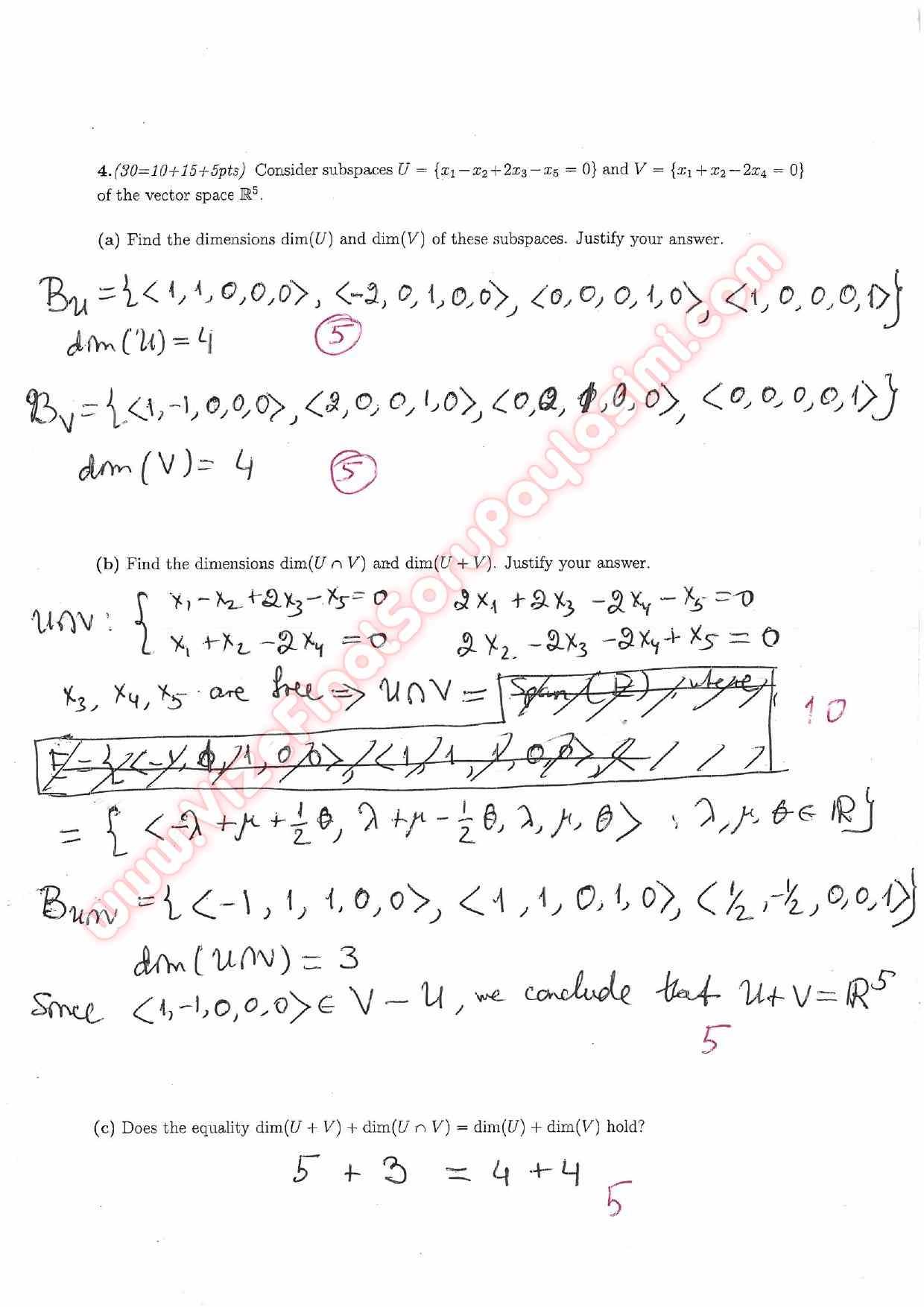
Linear Algebra Final Questions And Solutions 2014 9-11-2015, 23:51
-
Linear Algebra Second Midterm Questions And Solutions 2013 9-11-2015, 23:49
-
Linear Algebra First Midterm Questions And Solutions 2013 9-11-2015, 23:48





Facebook İle Giriş Yap
Google+ İle Giriş Yap
