İnstagram Pinterest Twitter VFSP - YouTube Facebook
Vize ve Final Soruları / Sakarya Üniversitesi / Akışkanlar Mekaniği
0




 

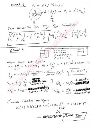
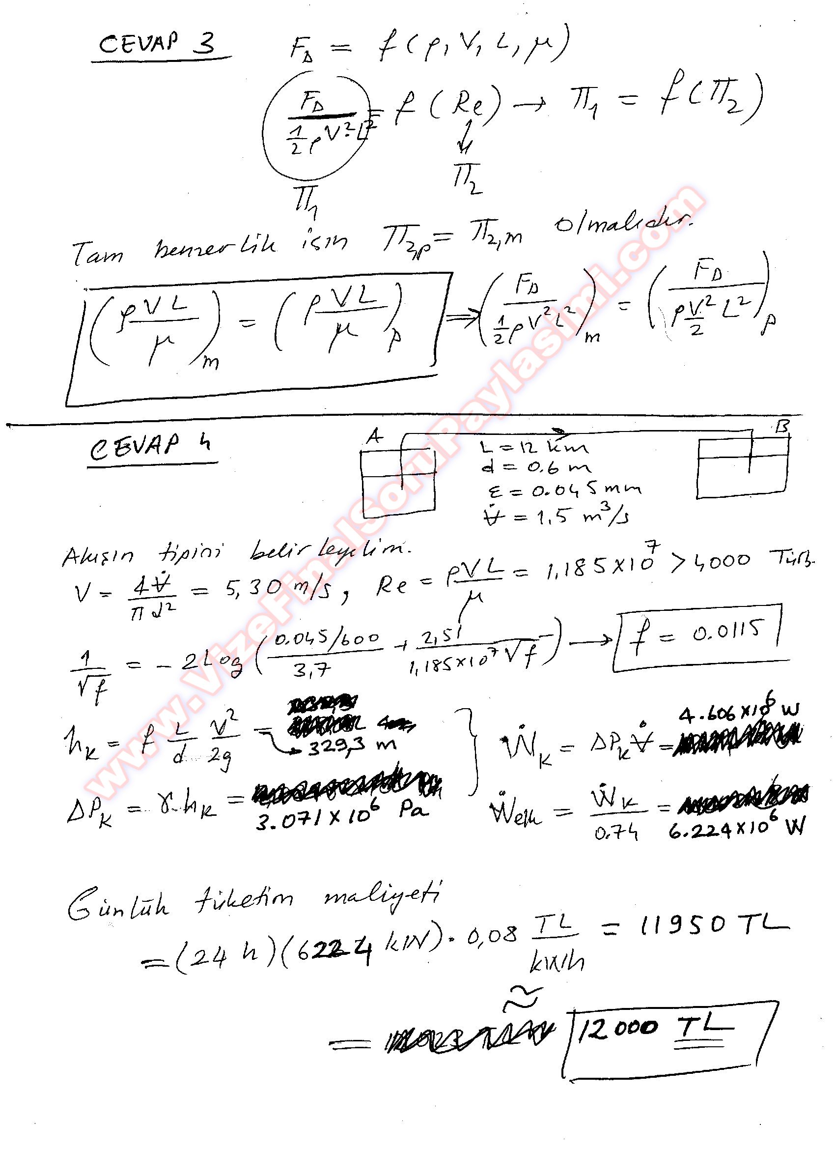
Akışkanlar Mekaniği Final Soruları - 2009

 

 

Sakarya Üniversitesi Mühendislik Fakültesi Akışkanlar Mekaniği Final Soruları - 2009

Bu Sayfayı Arkadaşlarınla Paylaşmak İster misin ?
akiskanlar mekanigi final soru sakarya universitesi
GERİ DÖN




İsim:*
E-Mail:
Güvenlik: *