İnstagram Pinterest Twitter VFSP - YouTube Facebook
Üniversite Ders Notları / Mukavemet -1 Ders Notları
+1





 

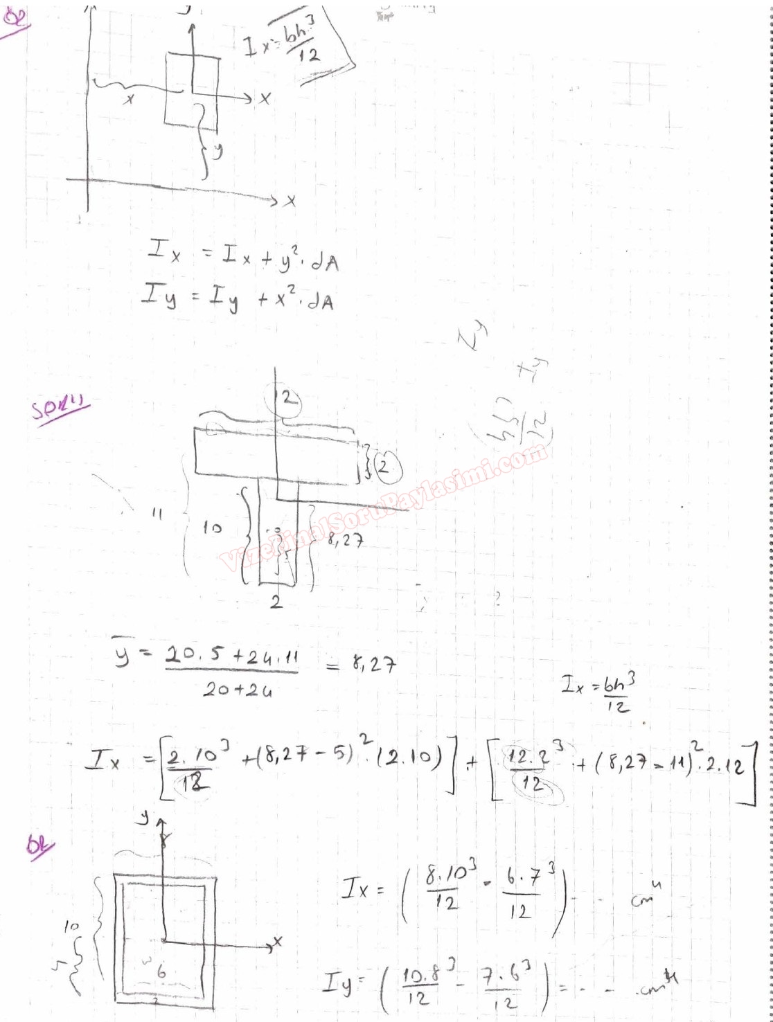
Atalet Momentleri

Bu Sayfayı Arkadaşlarınla Paylaşmak İster misin ?
Mukavemet -1 Atalet Momenti Ders Notları Çalışma Soruları Örnek Sorular
GERİ DÖN




İsim:*
E-Mail:
Güvenlik: *