İnstagram Pinterest Twitter VFSP - YouTube Facebook
Üniversite Ders Notları / Fizik-2 Ders Notları
+5





 

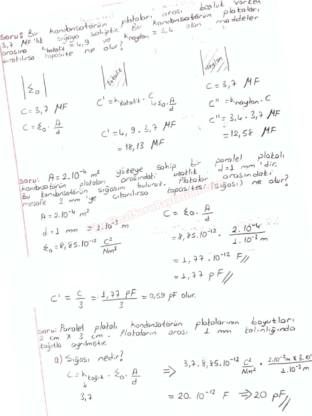
Kondansatörler

Bu Sayfayı Arkadaşlarınla Paylaşmak İster misin ?
Fizik -2 Kondansatörler Ders Notları Çalışma Soruları Örnek Sorular
GERİ DÖN




İsim:*
E-Mail:
Güvenlik: *