İnstagram Pinterest Twitter VFSP - YouTube Facebook
Üniversite Ders Notları / Fizik-2 Ders Notları
0





 

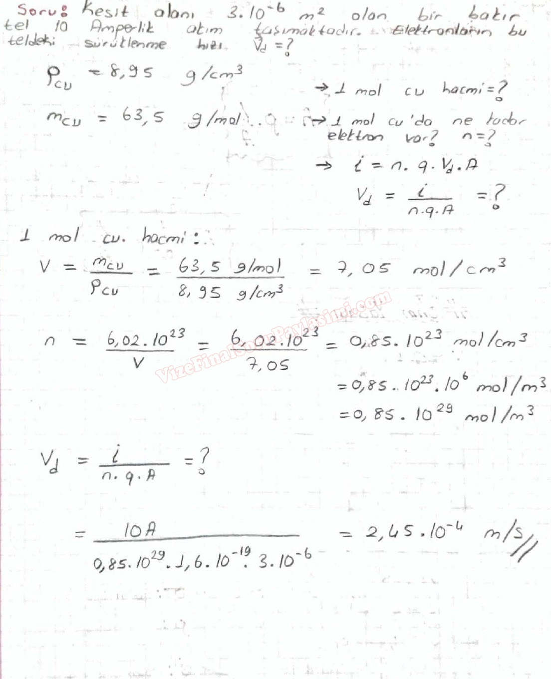
Akım ve Direnç

Bu Sayfayı Arkadaşlarınla Paylaşmak İster misin ?
Fizik -2 Akım ve Direnç Ders Notları Ders Notları Örnek Sorular Çalışma Soruları Ohm Yasası
GERİ DÖN




İsim:*
E-Mail:
Güvenlik: *