İnstagram Pinterest Twitter VFSP - YouTube Facebook
Vize ve Final Soruları / Pamukkale Üniversitesi / Akışkanlar Mekaniği
+5




 

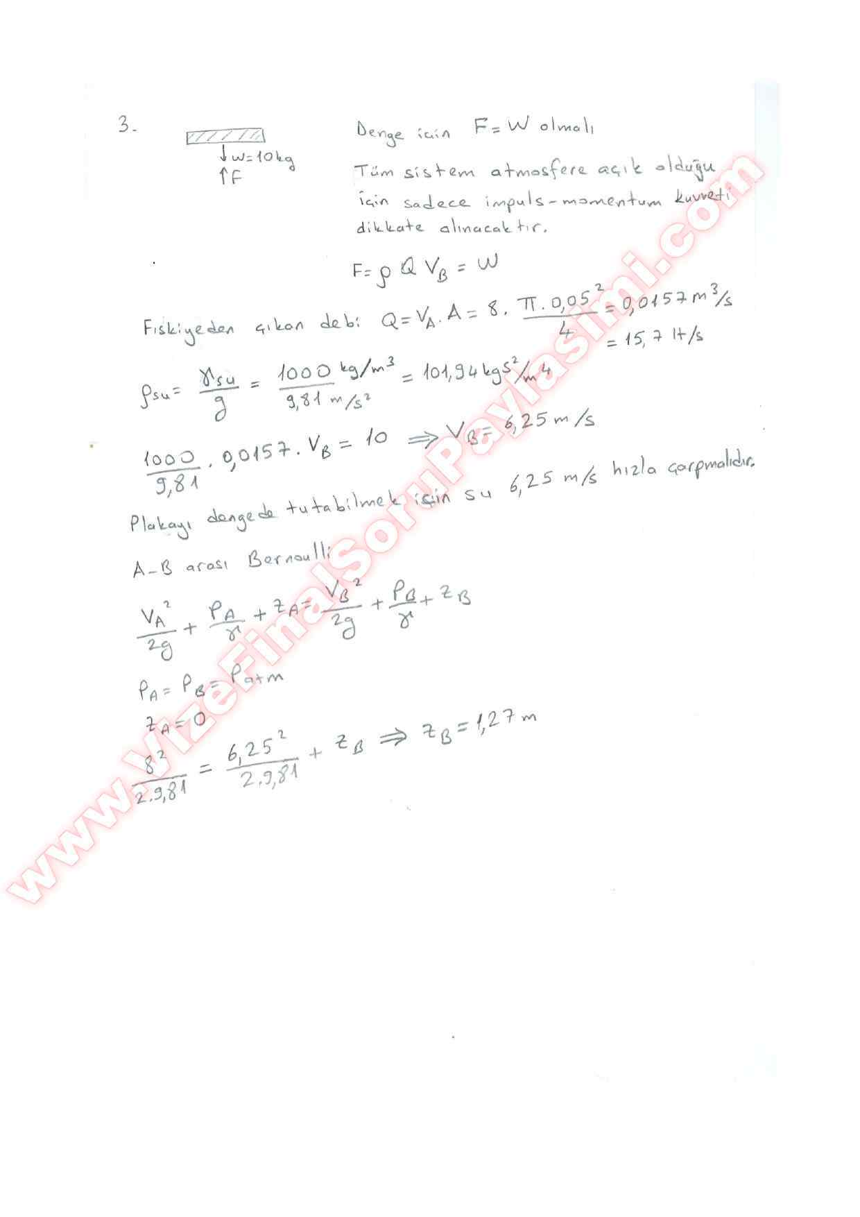
Akışkanlar Mekaniği Final Cevapları

Bu Sayfayı Arkadaşlarınla Paylaşmak İster misin ?
akiskanlar mekanigi final cevaplari
GERİ DÖN




İsim:*
E-Mail:
Güvenlik: *