İnstagram Pinterest Twitter VFSP - YouTube Facebook
Vize ve Final Soruları / İstanbul Üniversitesi / Biyokimya Dersi
0





Bu Sayfayı Arkadaşlarınla Paylaşmak İster misin ?
biyokimya dersi bütünleme sınav soruları
GERİ DÖN




İsim:*
E-Mail:
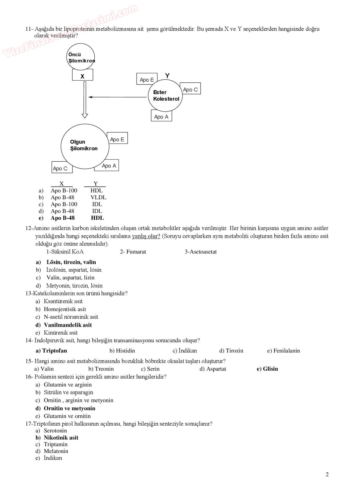
Güvenlik: *