İnstagram Pinterest Twitter VFSP - YouTube Facebook
Bu Sayfayı Arkadaşlarınla Paylaşmak İster misin ?
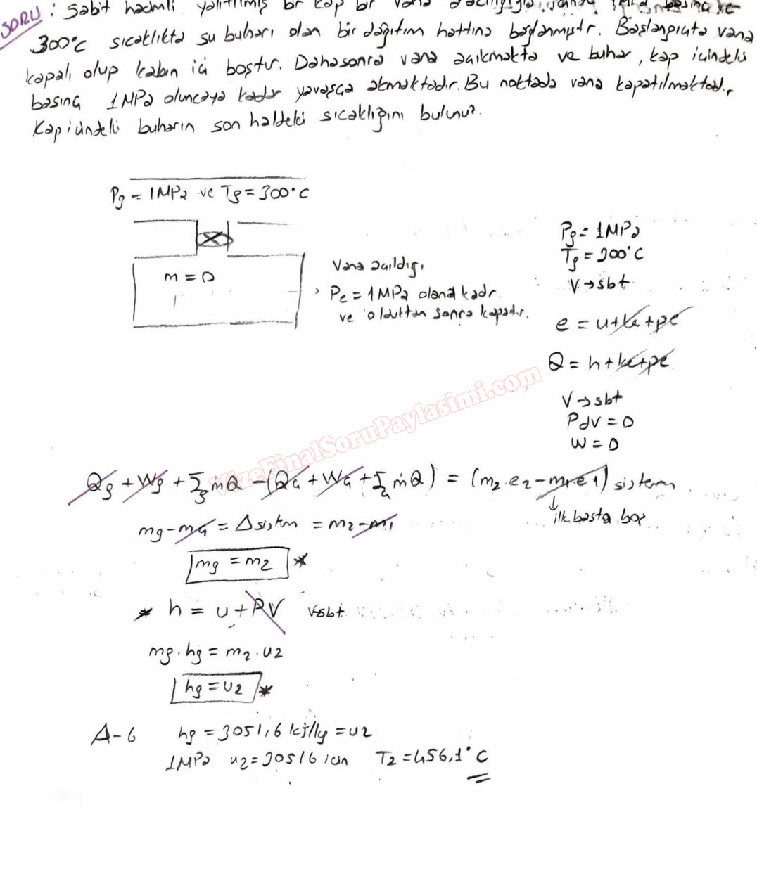
Termodinamik -2 Isı Değiştiriciler Ders Notları Çalışma Soruları Örnek Sorular
GERİ DÖN




İsim:*
E-Mail:
Güvenlik: *