-
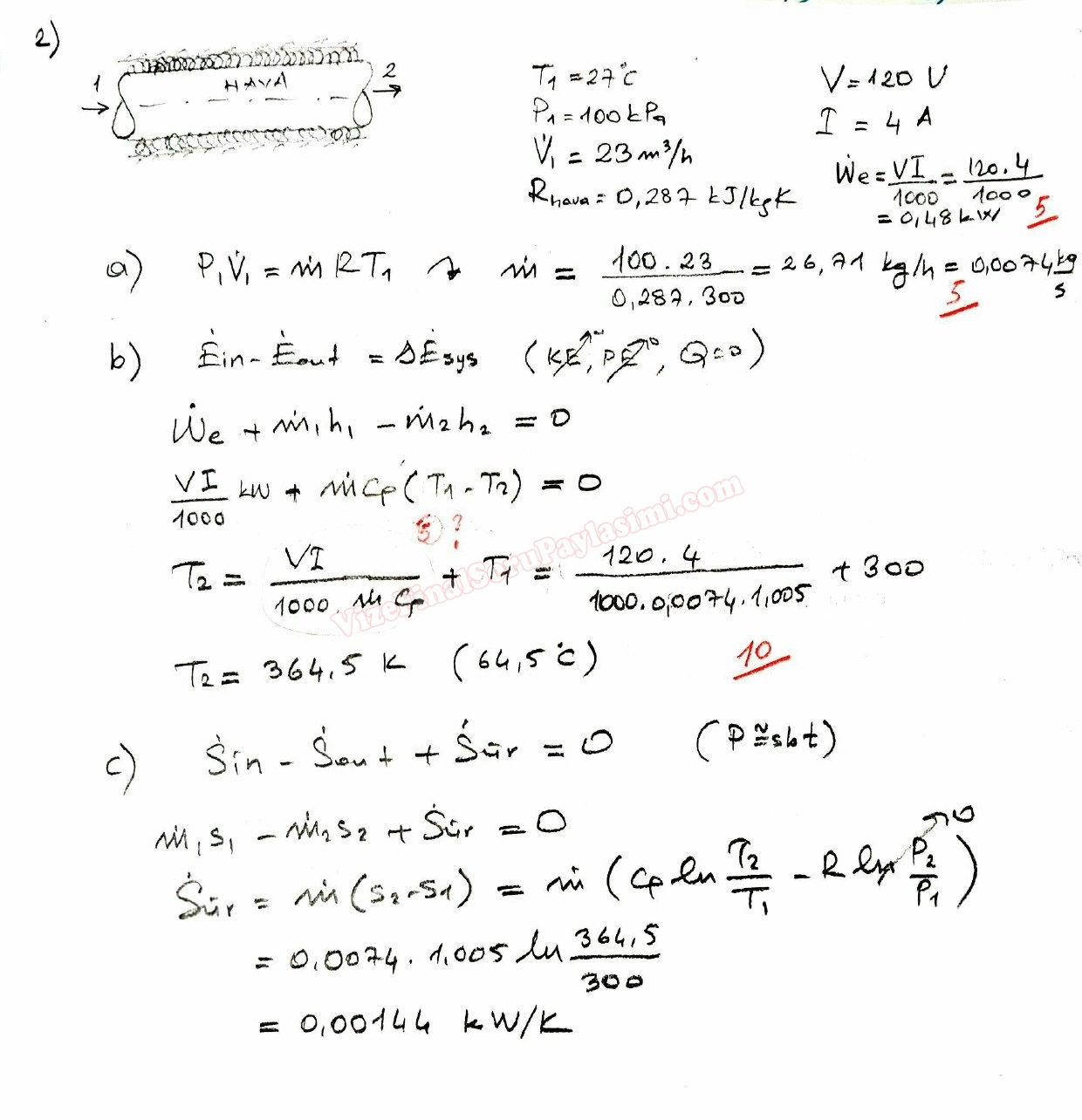
Termodinamik Vize Soruları ve Cevapları 14-06-2017, 16:33
-
Bilgisayar Destekli Termodinamik Analiz Dersi Vize Soruları ve Cevapları 12-06-2017, 00:01
-
Termodinamik -2 Vize Soruları ve Cevapları -2017 21-05-2017, 19:16
-
Termodinamik -2 Vize Soruları ve Cevapları - 2016 4-05-2016, 10:37
-
Termodinamik-1 Vize Soruları Ve Cevapları 4-09-2015, 22:14
-
Termodinamik -1 Vize Soruları ve Cevapları 29-06-2015, 22:54
-
Termodinamik -2 Vize Soruları ve Cevapları 5-05-2015, 22:53
-
Termodinamik-1 Vize Soruları Ve Cevapları 4-04-2015, 00:23





Facebook İle Giriş Yap
Google+ İle Giriş Yap