İnstagram Pinterest Twitter VFSP - YouTube Facebook
Vize ve Final Soruları / Hacettepe Üniversitesi / Elektrik ve Manyetizma Dersi
0





 

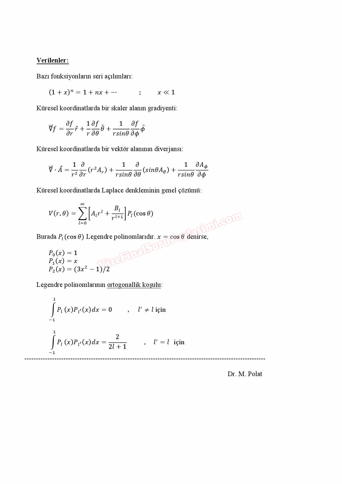
Elektrik Ve Manyetizma Vize Soruları Ve Cevapları -2014

Bu Sayfayı Arkadaşlarınla Paylaşmak İster misin ?
elektrik ve manyetizma vize2 soruları cevaplari Hacettepe Üniversitesi
GERİ DÖN




İsim:*
E-Mail:
Güvenlik: *