İnstagram Pinterest Twitter VFSP - YouTube Facebook
Bu Sayfayı Arkadaşlarınla Paylaşmak İster misin ?
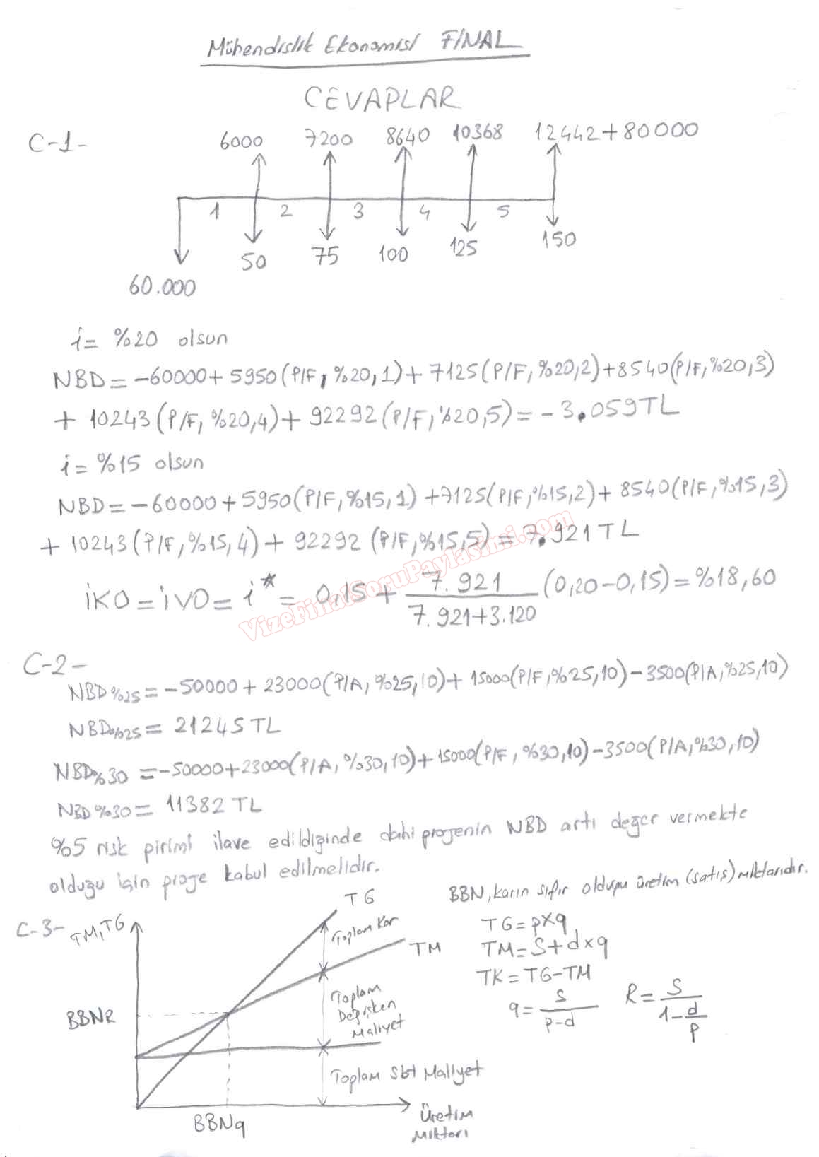
Mühendislik Ekonomisi Dersi Mühendislik Ekonomisi Final Soruları Erzurum Teknik Üniversitesi Cevapları
GERİ DÖN




İsim:*
E-Mail:
Güvenlik: *