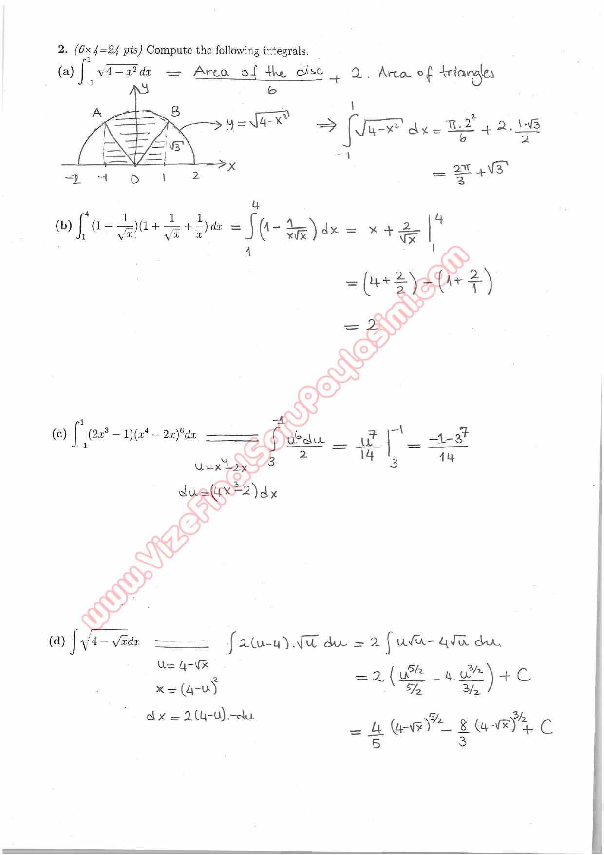
Calculus With Analytic Geometry Second Midterm Questions and Solutions Spring 2014 Paylaşan: ramazan52 Tarih: 29-10-2015, 05:02 Gösterim: 2 075 Vize ve Final Soruları / ODTÜ / Calculus With Analytic Geometry 0 << 1 2 3 4 5 >>