İnstagram Pinterest Twitter VFSP - YouTube Facebook
Bu Sayfayı Arkadaşlarınla Paylaşmak İster misin ?
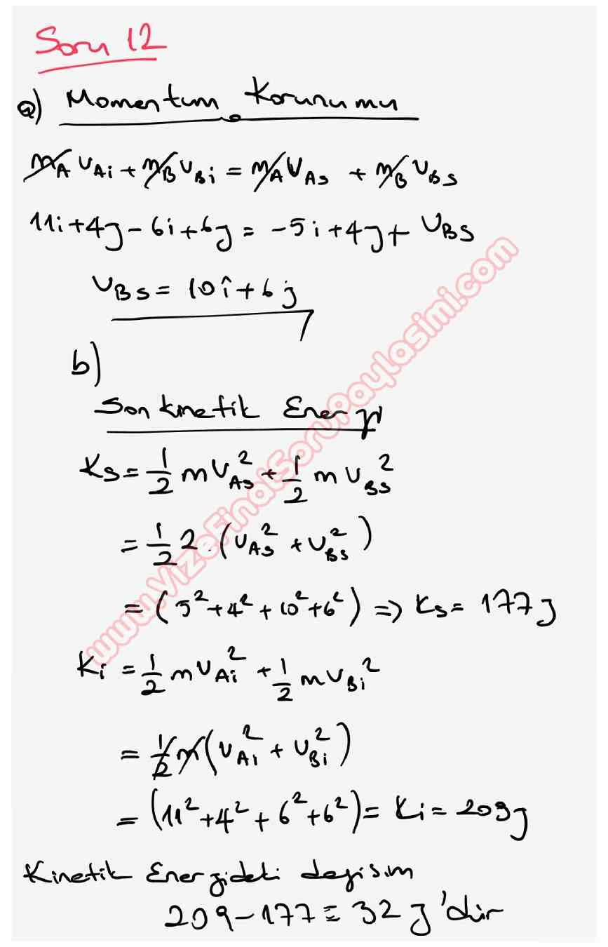
fizik-1 final sorulari soru cevap cevaplari bozok uni fizik
GERİ DÖN




İsim:*
E-Mail:
Güvenlik: *