Vize ve Final Soruları / Balıkesir Üniversitesi / Genetik -1
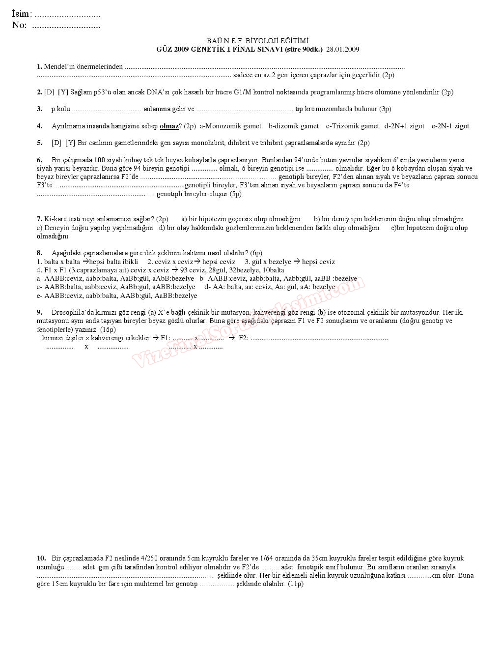
Genetik 1 Final Soruları 2009
genetik1 final soruları Balıkesir Üniversitesi GERİ DÖN-
Genetik-1 Vize Soru ve Cevapları 2009 25-12-2015, 13:16
-
Genetik 1 Bütünleme Soruları 2010 25-12-2015, 12:36
-
Cebire Giriş Dersi Final Soruları 2009 23-12-2015, 16:07
-
Soyut Matematik Final Soruları 2009 22-12-2015, 14:40
-
Genetik -1 Final Soruları -2004 5-07-2015, 00:55
-
Genetik -1 Final Soruları 5-07-2015, 00:32
-
Malzeme Mekaniği -2 Final Soruları 2009 7-04-2015, 15:11
-
Genetik-2 Final Soruları-2009 26-12-2014, 23:53





Facebook İle Giriş Yap
Google+ İle Giriş Yap