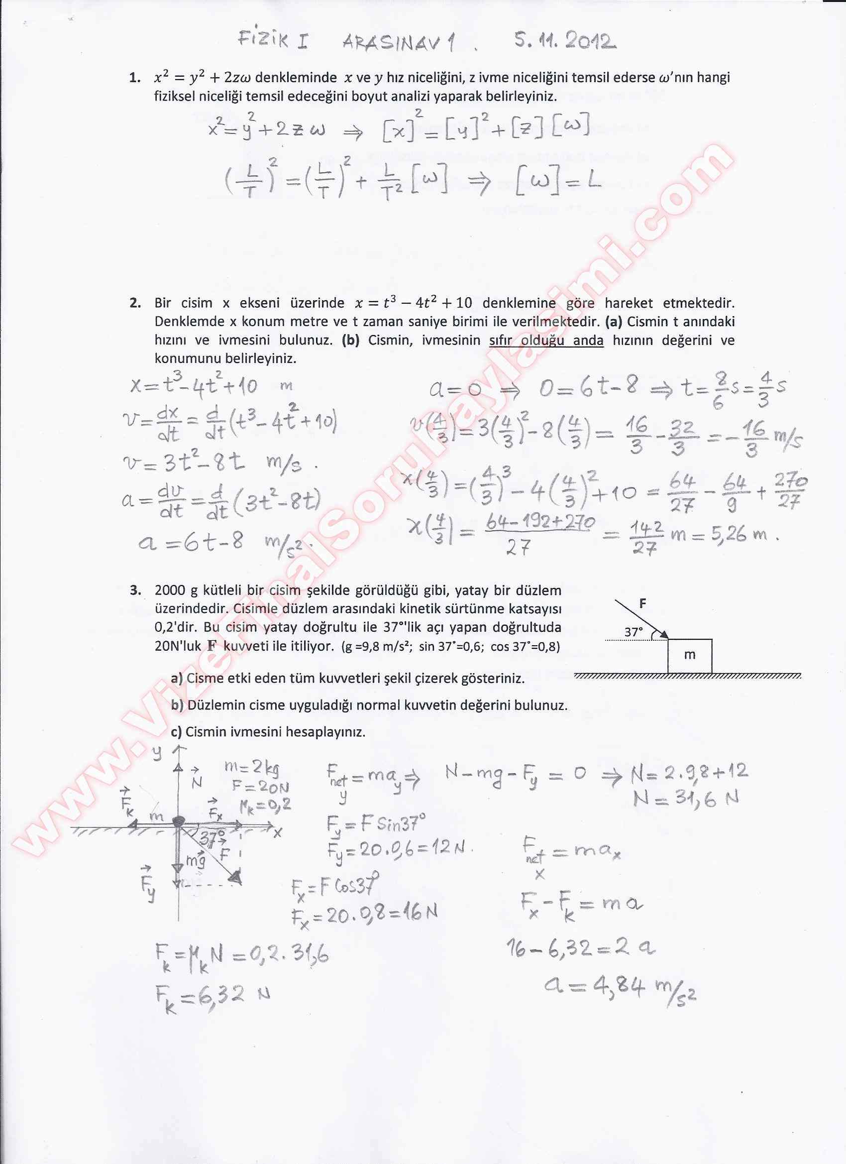
Vize ve Final Soruları / Maltepe Üniversitesi / Fizik -1
Fizik Vize Soruları Ve Çözümleri
fizik vize sorulari cozumleri GERİ DÖN-
Fizik Vize Soruları Ve Çözümleri -2015 7-07-2015, 11:31
-
Fizik Vize Soruları Ve Çözümleri -2015 7-07-2015, 11:31
-
Fizik Kısa Sınav Soruları Ve Çözümleri 7-07-2015, 11:28
-
Fizik Final Soruları Ve Çözümleri 7-07-2015, 11:26
-
Fizik Bütünleme Sınav Soruları Ve Çözümleri 7-07-2015, 11:22
-
Fizik-1 Final Soruları ve Çözümleri - 2014 6-02-2015, 22:40
-
Fizik-1 Final Soruları ve Çözümleri - 2015 25-01-2015, 23:28
-
Fizik-1 Final Soruları ve Çözümleri - 2015 21-01-2015, 20:07





Facebook İle Giriş Yap
Google+ İle Giriş Yap
