İnstagram Pinterest Twitter VFSP - YouTube Facebook
Üniversite Ders Notları / Matematik -1 Ders Notları
+5





 

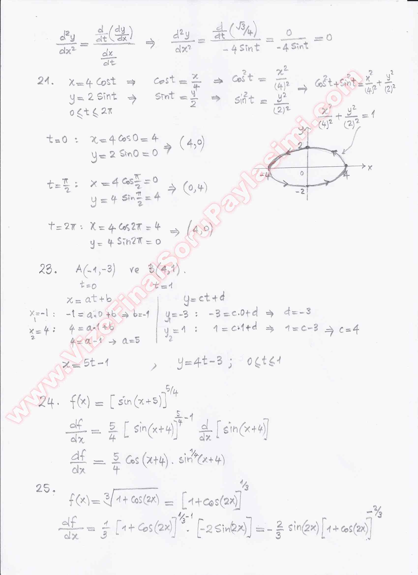
Matematik 1 Alıştırmalar 2

Bu Sayfayı Arkadaşlarınla Paylaşmak İster misin ?
matematik alistirmalar maltepe
GERİ DÖN




İsim:*
E-Mail:
Güvenlik: *