İnstagram Pinterest Twitter VFSP - YouTube Facebook
Bu Sayfayı Arkadaşlarınla Paylaşmak İster misin ?
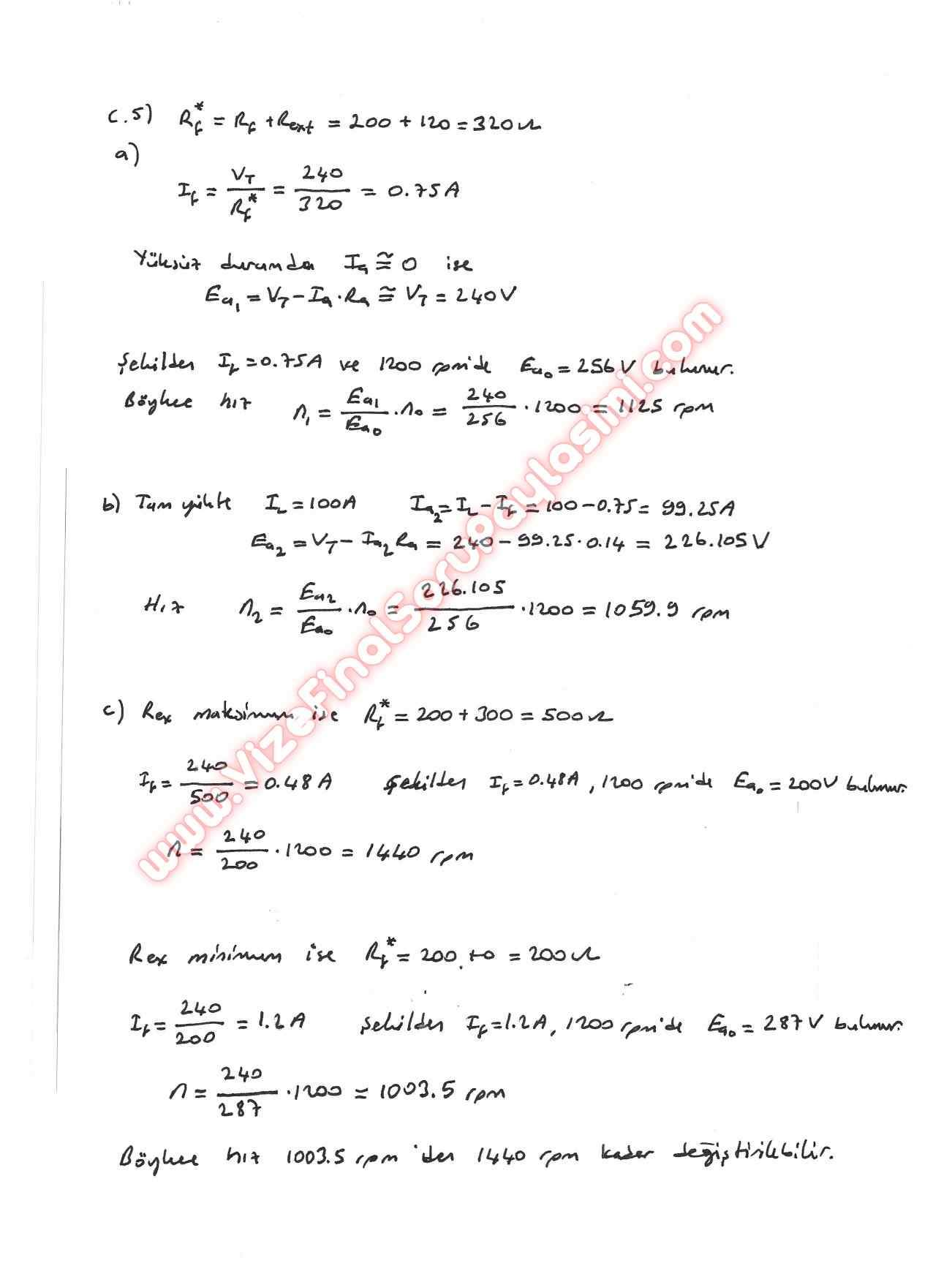
Elektrik makinalari1 final sorulari 2013
GERİ DÖN




İsim:*
E-Mail:
Güvenlik: *