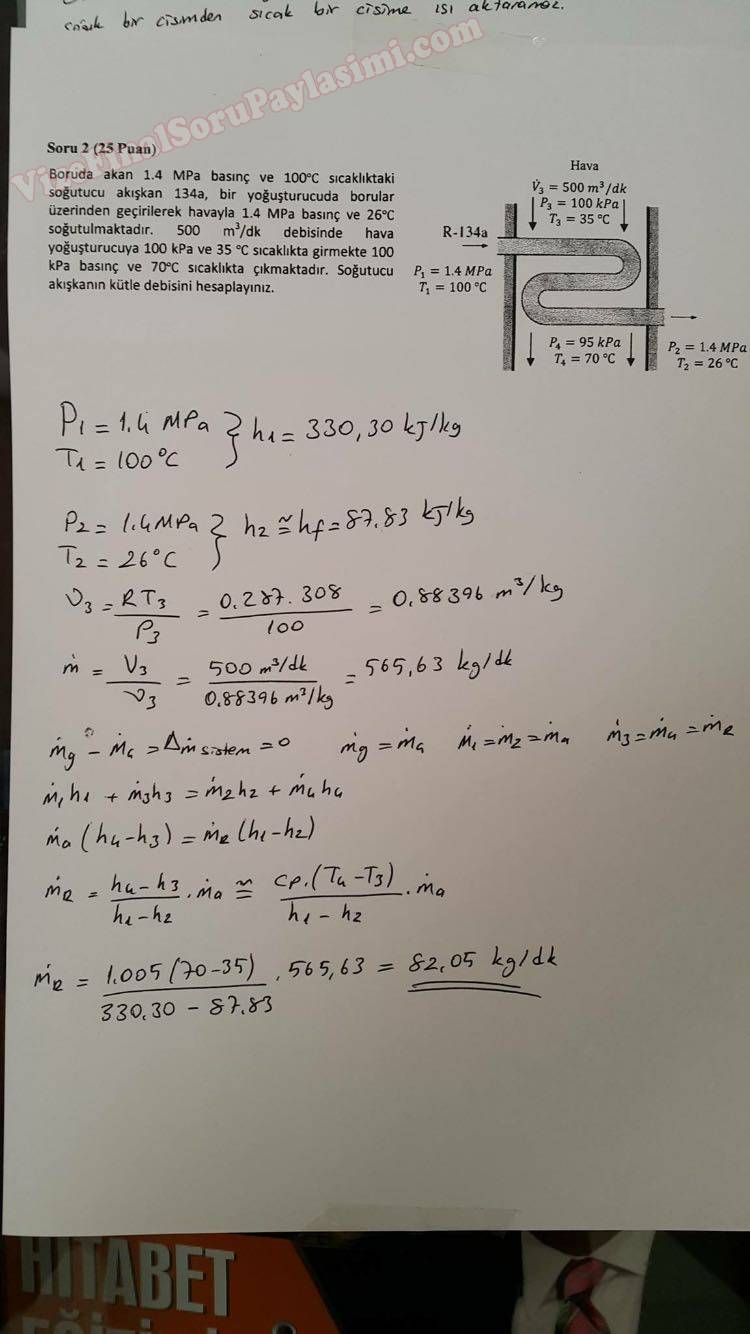
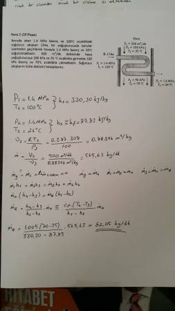
-
Termodinamik Dersi Final Soruları 16-01-2018, 23:41
-
Termodinamik -2 Final Soruları 28-05-2017, 23:34
-
Termodinamik-2 Final Soruları Ve Cevapları-2014 24-04-2015, 22:56
-
Termodinamik 1 Final Soruları 2011 7-04-2015, 16:57
-
Termodinamik-2 Final Soruları 4-03-2015, 13:40
-
Termodinamik 1 Final Soruları 23-07-2014, 19:07
-
Termodinamik-1 Final Soruları - 14.01.2014 17-07-2014, 22:25
-
Termodinamik-1 Final Soruları - 09.01.2012 17-07-2014, 22:22





Facebook İle Giriş Yap
Google+ İle Giriş Yap
