-
Dinamik Dersi Final Soruları - 31.12.2015 18-07-2016, 19:45
-
Dinamik Dersi Final Soruları - İnşaat Mühendisliği 18-07-2016, 19:43
-
Dinamik Dersi Final Soruları - KTÜ 18-07-2016, 19:39
-
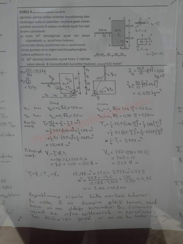
Dinamik Dersi Bütünleme Soruları - KTÜ 30-05-2016, 11:10
-
Dinamik Dersi Final Soruları 26-05-2015, 03:30
-
Dinamik Dersi Vize Soruları ve Çözümleri -2015 20-05-2015, 16:51
-
Dinamik Dersi Pano Soruları ve Çözümleri 20-05-2015, 16:37
-
Dinamik Dersi Bütünleme Soruları ve Cevapları 6-04-2015, 13:47





Facebook İle Giriş Yap
Google+ İle Giriş Yap
