-
Ayrık Matematik Dersi 4. Quiz Soru ve Çözümleri 17-12-2015, 15:45
-
Ayrık Matematik Dersi 3. Quiz Soru ve Çözümleri 17-12-2015, 15:43
-
Ayrık Matematik Dersi 2. Quiz Soru ve Çözümleri 17-12-2015, 15:40
-
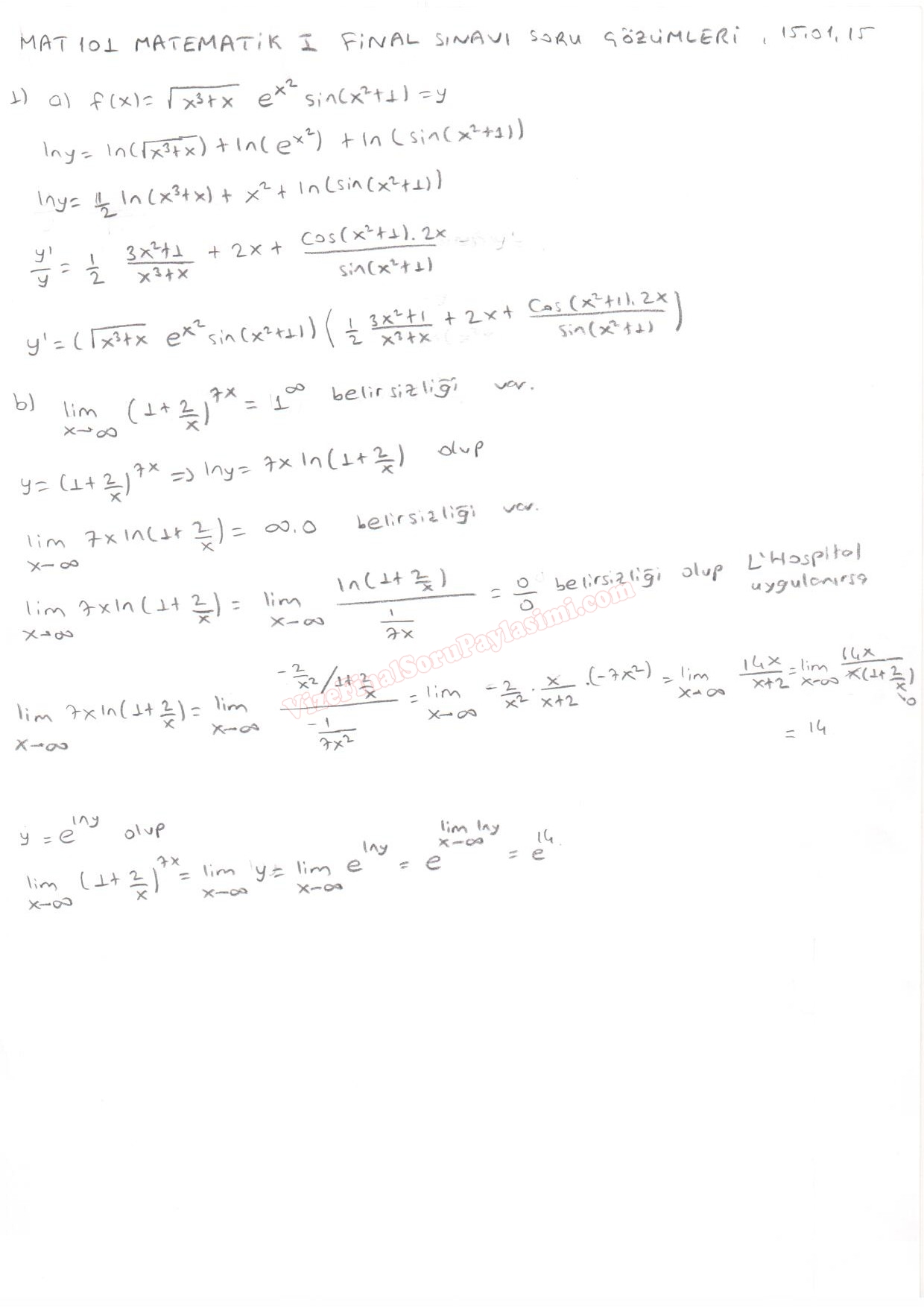
Matematik-1 Vize Soruları ve Çözümleri - 2015 15-12-2015, 21:56
-
Matematik -1 Vize Soruları ve Çözümleri 15-12-2015, 21:53
-
Ayrık Matematik Dersi 1. Quiz Soru ve Çözümleri 15-12-2015, 21:05
-
Ayrık Matematik Dersi Vize Soruları ve Çözümleri 15-12-2015, 21:00
-
Ayrık Matematik Final Soruları ve Çözümleri - 2014 1-05-2015, 14:17





Facebook İle Giriş Yap
Google+ İle Giriş Yap
