İnstagram Pinterest Twitter VFSP - YouTube Facebook
Vize ve Final Soruları / Kırıkkale Üniversitesi / Sinyaller ve Sistemler Dersi
0





 

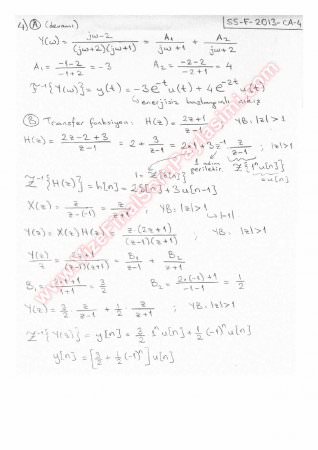
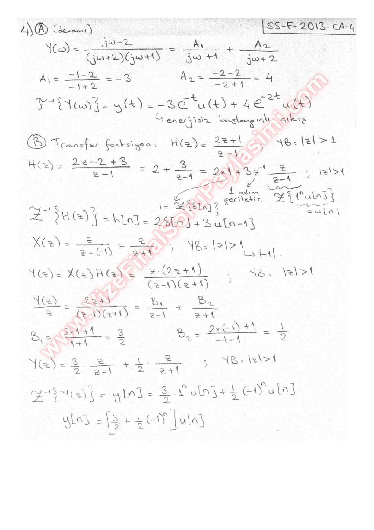
Sinyaller Ve Sistemler Final Soruları Ve Çözümleri - 2013

Bu Sayfayı Arkadaşlarınla Paylaşmak İster misin ?
sinyal sis final sorulari cozumleri 2013
GERİ DÖN




İsim:*
E-Mail:
Güvenlik: *