İnstagram Pinterest Twitter VFSP - YouTube Facebook
Vize ve Final Soruları / Süleyman Demirel Üniversitesi / Statik Dersi
+1




 

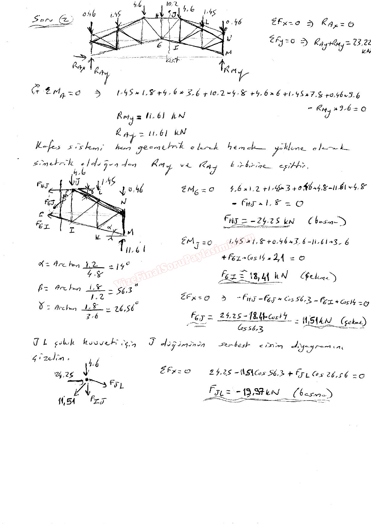
Statik Dersi Final Soruları ve Cevapları -2017

Bu Sayfayı Arkadaşlarınla Paylaşmak İster misin ?
sdu Süleyman Demirel Üniversitesi Statik Dersi final soruları cevapları
GERİ DÖN




İsim:*
E-Mail:
Güvenlik: *