-
Differential Equations Third Short Exam Questions And Solutions 2015 9-11-2015, 02:21
-
Differential Equations Second Short Exam Questions And Solutions 2015 9-11-2015, 02:20
-
Differential Equations First Short Exam Questions And Solutions 2015 9-11-2015, 02:13
-
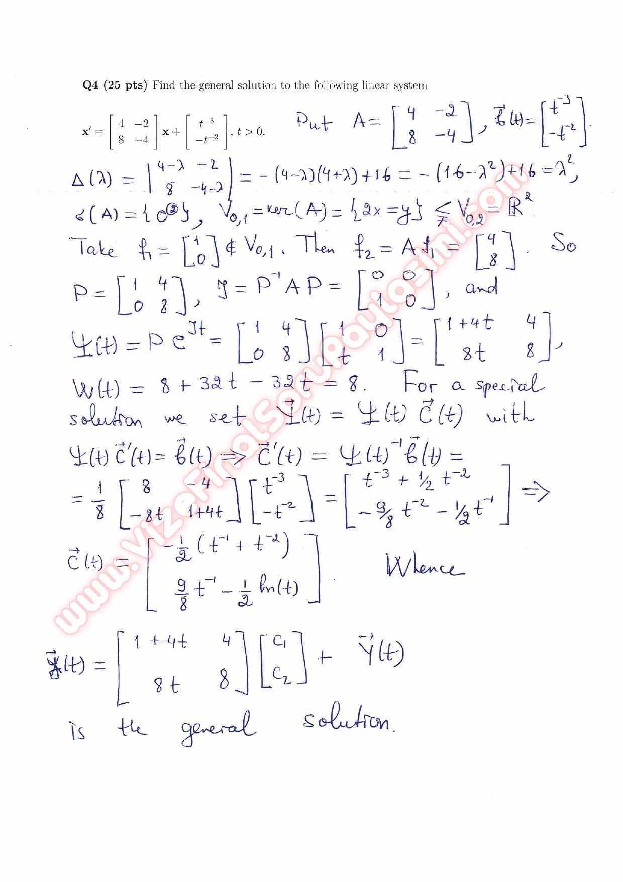
Differential Equations Final Questions And Solutions Summer 2014 9-11-2015, 02:05
-
Differential Equations Final Questions And Solutions Spring 2014 9-11-2015, 01:58
-
Introduction To Differential Equations Final Questions And Solutions Fall 2014 9-11-2015, 01:53
-
Introduction To Differential Equations Second Midterm Exam Questions And Solutions 2013 9-11-2015, 01:43
-
Introduction To Differential Equations First Midterm Exam Questions And Solutions 9-11-2015, 01:41





Facebook İle Giriş Yap
Google+ İle Giriş Yap
