İnstagram Pinterest Twitter VFSP - YouTube Facebook
Vize ve Final Soruları / ODTÜ / Introduction to Differential Equations
0





 

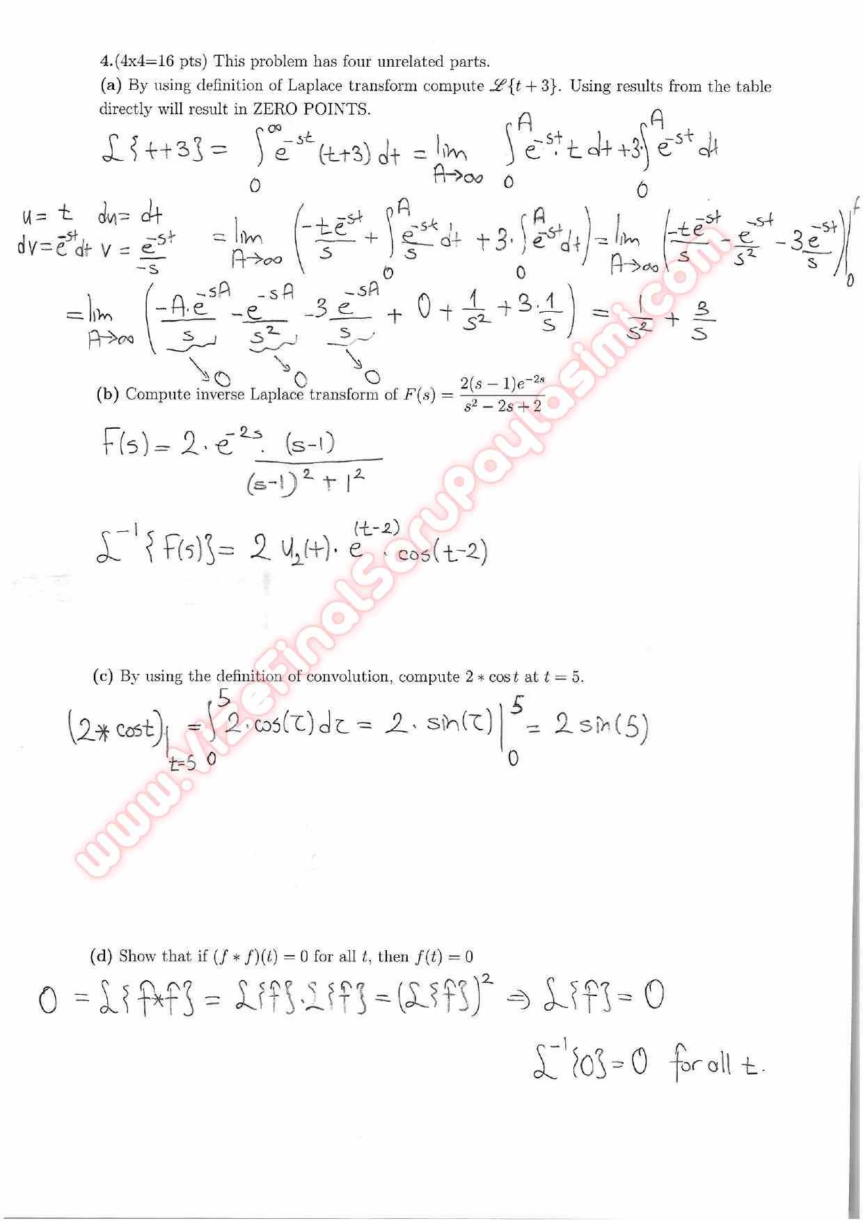
Introduction To Differential Equations Final Questions And Solutions Fall 2014

Bu Sayfayı Arkadaşlarınla Paylaşmak İster misin ?
İntroduction Differential Equations Final Exam
GERİ DÖN




İsim:*
E-Mail:
Güvenlik: *