İnstagram Pinterest Twitter VFSP - YouTube Facebook
Vize ve Final Soruları / ODTÜ / Calculus for Functions of Several Variables
+4





 

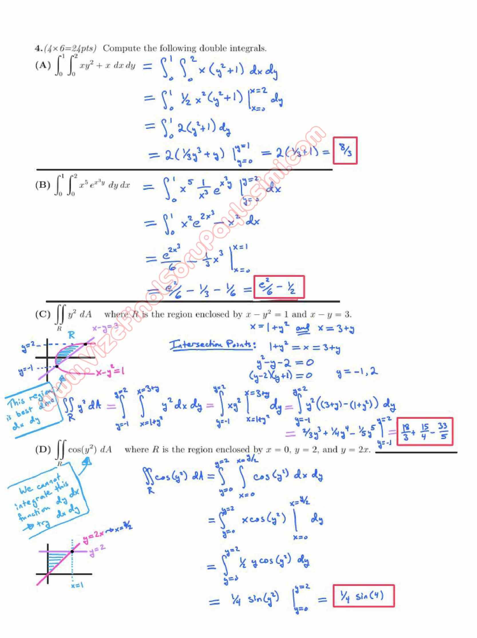
Calculus For Functions Of Several Variables Second Midterm Exam Questions And Solutions Fall 2013

Bu Sayfayı Arkadaşlarınla Paylaşmak İster misin ?
Calculus Functions Several Variables Questions Solutions Midterm Exam
GERİ DÖN




İsim:*
E-Mail:
Güvenlik: *