İnstagram Pinterest Twitter VFSP - YouTube Facebook
Vize ve Final Soruları / İnönü Üniversitesi / Elektrik Makinaları -1
0




 

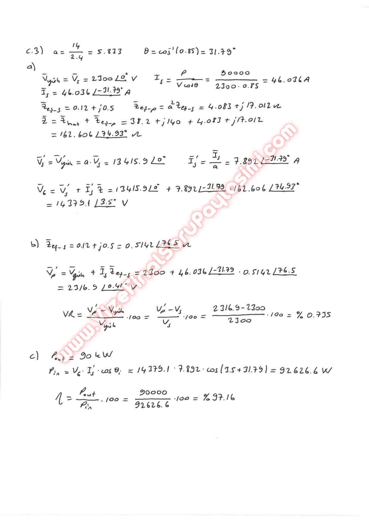
Elektrik Makinaları -1 Final Soruları -2014

Bu Sayfayı Arkadaşlarınla Paylaşmak İster misin ?
Elektrik makinalari1 final sorulari 2014
GERİ DÖN




İsim:*
E-Mail:
Güvenlik: *