-
Plastik Şekil Verme Tkn. Mazeret Sınavı Soruları - 2016 12-05-2016, 21:12
-
Ticari Matematik Dersi Mazeret Soruları 2014 14-01-2016, 05:52
-
Proses Kontrol Dersi Mazeret Sınavı Soruları 25-11-2015, 23:36
-
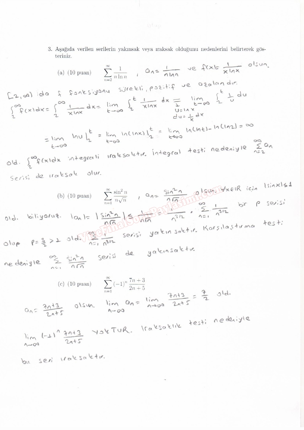
Matematik -2 Mazeret Soruları ve Cevapları 26-05-2015, 14:48
-
Elektromanyetik Alanlar Mazeret Soruları 26-03-2015, 04:26
-
Titreşim Esaslı Bilgisayar Destekli Bakım Dersi Mazeret Soruları Ve Cevapları-2008 21-12-2014, 17:34
-
İstatistik Dersi Mazeret Sınavı Soruları 25-09-2014, 14:10
-
Algoritma ve Programlama Dersi Mazeret Sınavı Soruları( 21-06-2014, 01:07





Facebook İle Giriş Yap
Google+ İle Giriş Yap
