-
Isı Transferi Vize Soruları ve Cevapları 2010 31-08-2016, 21:40
-
Isı Transferi Dersi Vize Soruları 2010 31-08-2016, 21:16
-
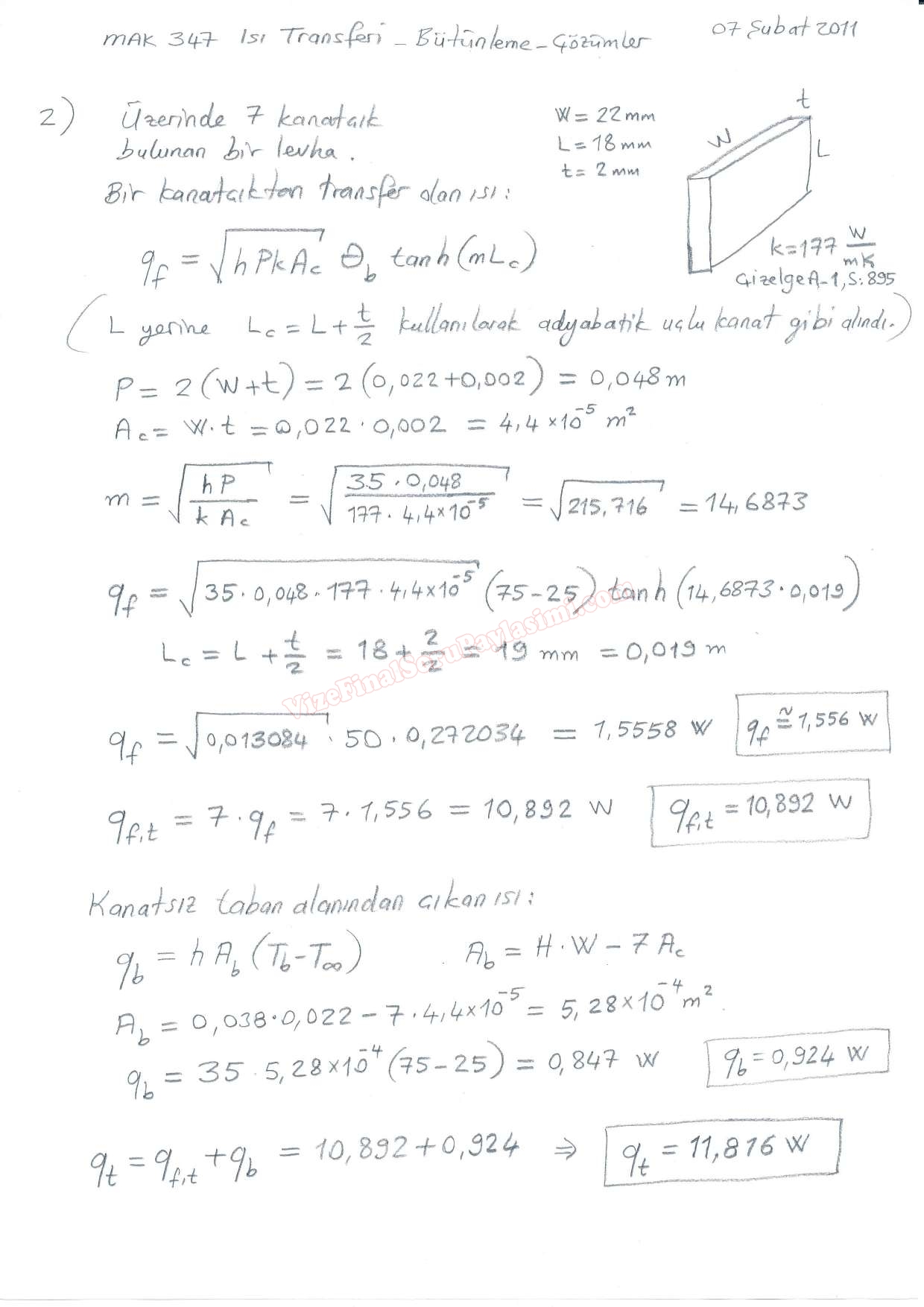
Isı Transferi Dersi Bütünleme Soruları ve Cevapları 5-05-2016, 23:03
-
Fonksiyonel Analize Giriş 1 Bütünleme Soruları 2010 12-01-2016, 01:54
-
Genetik 1 Bütünleme Soruları 2010 25-12-2015, 12:36
-
Isı Transferi -1 Final Soruları 2010 7-04-2015, 13:32
-
Isı Transferi Final Soruları Ve Cevapları 3-04-2015, 07:11
-
Isı Transferi Final Soruları Ve Cevapları-2010 23-12-2014, 22:22





Facebook İle Giriş Yap
Google+ İle Giriş Yap